阿摩線上測驗
登入
首頁
>
(高等)工程力學(包括靜力學、動力學與材料力學)
>
102年 - 102 專技高考_機械工程技師:工程力學(包括靜力學、動力學與材料力學)#25968
> 申論題
題組內容
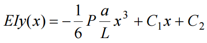
四、圖四為某鋼樑支撐及受力圖,有一集中負荷 P 作用於端點 C 處。以 A 為原點,向右 座標軸為 x,向上座標軸為 y,其位移關係式為:
⑵試問最大位移( max y )表示式及其位置( max x )表示式?(10 分)
相關申論題
⑴該樑自由端至支撐處 A 點的最短安全距離 d?(10 分)
#39821
⑵該樑自由端至支撐處 A 點的最長安全距離 d?(10 分)
#39822
⑴軸環相對於繩子的加速度?(10 分)
#39823
⑵繩子作用於軸環的橫向力(transverse force)? (10 分) 提示: θ θ θ θ a r r e r r e
#39824
⑴複合截面的形心(centroid)C 距離原 I 形截面形心的距離?(10 分)
#39825
⑵平行於板且經過形心 C 的複合截面慣性矩?(10 分)
#39826
⑴試解係數C1及C2。(5 分)
#39827
⑶若 P= 220 kN,L= 5 m,a=1.2 m,E= 200 GPa,I = 6 300 ×10 6mm 4 ,試問最大位移 量( max y )及其位置( max x )?(5 分)
#39829
⑴主應力σ 1及σ 2的值為若干 MPa?(5 分)
#39830
⑵以主應力σ 1及σ 2繪製平面應力狀態。(5 分)
#39831
相關試卷
102年 - 102 專技高考_機械工程技師:工程力學(包括靜力學、動力學與材料力學)#25968
102年 · #25968
102年 - 102 身心障礙特種考試_三等_機械工程:工程力學(包括靜力學、動力學與材料力學)#25864
102年 · #25864
99年 - 99 身心障礙特種考試_三等_機械工程:工程力學(包括靜力學、動力學與材料力學)#47084
99年 · #47084
99年 - 99 關務、專利商標審查特種考試_三等_機械工程:工程力學(包括靜力學、動力學與材料力學)#46982
99年 · #46982
99年 - 99 專技高考_造船工程技師:工程力學(包括靜力學、動力學與材料力學)#46472
99年 · #46472
99年 - 99 專技高考_機械工程技師:工程力學(包括靜力學、動力學與材料力學)#46423
99年 · #46423
98年 - 98 公務升官等考試_薦任_機械工程:工程力學(包括靜力學、動力學與材料力學)#47828
98年 · #47828
98年 - 98 地方政府特種考試_三等_機械工程:工程力學(包括靜力學、動力學與材料力學)#47701
98年 · #47701
98年 - 98 專技高考_機械工程技師:工程力學(包括靜力學、動力學與材料力學)#47487
98年 · #47487
96年 - 96 關務特種考試_三等_機械工程:工程力學(包括靜力學、動力學與材料力學)#52262
96年 · #52262