阿摩線上測驗 登入

申論題資訊

試卷:104年 - 104 調查特種考試_三等_電子科學組:工程數學#25098
科目:工程數學(應用數學, 線性代數、微分方程、複變函數與機率)
年份:104年
排序:0

題組內容

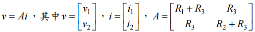
二、考慮圖二之電路,其中電壓與電流之關係可以矩陣表示為: 假設各電子元件值為R1 = 1Ω,R2 = 4 Ω,R3 = 2 Ω

申論題內容

⑵試求矩陣 A之特徵值與特徵向量。(10 分)