阿摩線上測驗
登入
首頁
>
工程數學(應用數學, 線性代數、微分方程、複變函數與機率)
>
102年 - 102 高等考試_三級_電力工程、電子工程、電信工程、醫學工程:工程數學#29418
> 申論題
題組內容
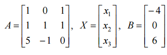
一、線性方程組以矩陣的符號寫成 AX B = ,令
;
⑵利用反矩陣(matrix inverses)方法求解 AX = B 。(5 分)
相關申論題
⑴利用高斯消去法求解 AX = B 。(5 分)
#61642
⑶利用 Cramer's 法則(Cramer's rule)求解 AX = B 。(5 分)
#61644
⑴求 f (z)以 z =1為中心展開的羅倫級數(Laurent series)。(7 分)
#61645
⑵求 f (z)在 z =1的留數(residue)。(3 分)
#61646
⑴ y′′ −10y′ + 25y = 0之通解(general solution)。(5 分)
#61647
⑵ y′′ + 4y = 8; y (π /4 )= y (π/2 ) 1之解。(5 分)
#61648
⑶ x³y′′′ + x2 y′′ − 4y′ = 之通解。[註: x > 0](5 分)
#61649
⑴求 X 與Y 之共變異數(covariance),Cov[X ,Y]。(7 分)
#61650
⑵求 X 與Y 之相關係數(correlation coefficient),ρ X ,Y 。(3 分)
#61651
(二)求得矩陣 A 之零空間(Null Space)N( A )。(10 分)
#557492
相關試卷
114年 - 114 專技高考_電機工程技師:工程數學(包括線性代數、微分方程、複變函數與機率)#133679
114年 · #133679
114年 - 114 專技高考_電子工程技師:工程數學(包括線性代數、微分方程、向量分析、複變函數與機率)#133677
114年 · #133677
114年 - 114 調查特種考試_三等_電子科學組:工程數學#129578
114年 · #129578
114年 - 114 國家安全情報特種考試_三等_電子組(選試英文):工程數學#127780
114年 · #127780
113年 - 113 專技高考_電子工程技師:工程數學(包括線性代數、微分方程、向量分析、複變函數與機率)#123976
113年 · #123976
113年 - 113 專技高考_電機工程技師:工程數學(包括線性代數、微分方程、複變函數與機率)#123971
113年 · #123971
113年 - 113 調查特種考試_三等_電子科學組:工程數學#122110
113年 · #122110
113年 - 113 身心障礙特種考試_三等_電力工程:工程數學#119517
113年 · #119517
112年 - 112 地方政府特種考試_三等_電力工程、電子工程:工程數學#118376
112年 · #118376
112年 - 112 專技高考_電機工程技師:工程數學(包括線性代數、微分方程、複變函數與機率)#117639
112年 · #117639