阿摩線上測驗
登入
首頁
>
工程數學(應用數學, 線性代數、微分方程、複變函數與機率)
>
107年 - 107 調查特種考試_三等_電子科學組:工程數學#73121
> 申論題
題組內容
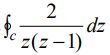
四、試求
,沿積分路徑 C:
⑵ z = 3。(10 分)
相關申論題
一、求解下列尤拉-柯西(Euler-Cauchy)微分方程式:(20 分)
#297644
二、試求下列函數之傅立葉級數(Fourier Series):(20 分) f (x) = cosh(x), −π ≤ x ≤ π , f (x) = f (x + 2π )。
#297645
⑴求 A 之特徵值(eigenvalues)與相對應之特徵向量(eigenvectors)。 (10 分)
#297646
⑵求矩陣 P 以滿足 P -1AP 為對角矩陣(diagonal matrix)。(5 分)
#297647
⑶求 A18。(5 分)
#297648
⑴ 3 1 z = 。(10 分)
#297649
⑴等待超過兩分鐘的機率。(10 分)
#297651
⑵算出等待的平均時間,亦即 W 的期望值。(10 分)
#297652
(二)求得矩陣 A 之零空間(Null Space)N( A )。(10 分)
#557492
(一)求得線性方程式 Ax=b 之完整解(Complete Solution) 。(20 分)
#557491
相關試卷
114年 - 114 專技高考_電機工程技師:工程數學(包括線性代數、微分方程、複變函數與機率)#133679
114年 · #133679
114年 - 114 專技高考_電子工程技師:工程數學(包括線性代數、微分方程、向量分析、複變函數與機率)#133677
114年 · #133677
114年 - 114 調查特種考試_三等_電子科學組:工程數學#129578
114年 · #129578
114年 - 114 國家安全情報特種考試_三等_電子組(選試英文):工程數學#127780
114年 · #127780
113年 - 113 專技高考_電子工程技師:工程數學(包括線性代數、微分方程、向量分析、複變函數與機率)#123976
113年 · #123976
113年 - 113 專技高考_電機工程技師:工程數學(包括線性代數、微分方程、複變函數與機率)#123971
113年 · #123971
113年 - 113 調查特種考試_三等_電子科學組:工程數學#122110
113年 · #122110
113年 - 113 身心障礙特種考試_三等_電力工程:工程數學#119517
113年 · #119517
112年 - 112 地方政府特種考試_三等_電力工程、電子工程:工程數學#118376
112年 · #118376
112年 - 112 專技高考_電機工程技師:工程數學(包括線性代數、微分方程、複變函數與機率)#117639
112年 · #117639