阿摩線上測驗
登入
首頁
>
數位訊號處理(DSP)
>
103年 - 103 一般警察特種考試_二等_刑事警察人員犯罪分析組:數位訊號處理(DSP)#43504
> 申論題
申論題
試卷:103年 - 103 一般警察特種考試_二等_刑事警察人員犯罪分析組:數位訊號處理(DSP)#43504
科目:數位訊號處理(DSP)
年份:103年
排序:0
申論題資訊
試卷:
103年 - 103 一般警察特種考試_二等_刑事警察人員犯罪分析組:數位訊號處理(DSP)#43504
科目:
數位訊號處理(DSP)
年份:
103年
排序:
0
題組內容
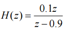
三、假設濾波器的 z-轉換(z-transfer function)為
,若輸入訊號 x[n] =0.6
n
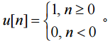
u[n]。 其中, u[n] (Unit step function)定義如下:
申論題內容
(3) 請利用所謂的初始值特性(Initial-value property)求 y[0] 。(5 分)