阿摩線上測驗
登入
首頁
>
自動控制學
>
98年 - 098年高3自動控制#48310
> 申論題
題組內容
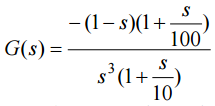
三、已知一單位負迴授(unity negative feedback)系統的開路轉移函數為
⑶試依據奈式穩定準則(Nyquist Criterion)說明其閉迴路系統之穩定性。(10 分)
相關申論題
⑴試繪出系統方塊圖(block diagram)。(10 分) C (s)
#168263
⑵試求此系統之轉移函數(transfer function) 。(5 分)
#168264
⑶當 時,且 e(t ) 為 E (s ) 之拉式反轉換(Laplace inverse transform),試求 ,並說明其理由。(5 分)
#168265
⑴試繪出其根軌跡圖(Root Locus)。(10 分)
#168266
⑵試求根軌跡分叉點(breakaway points),並標示於根軌跡圖中。(5 分)
#168267
⑶試求根軌跡漸近線(asymptotes)方程式,並標示於根軌跡圖中。(5 分)
#168268
⑷試求閉迴路系統之穩定條件,以 K 之範圍表示之。(5 分)
#168269
⑸試求臨界穩定(marginally stable)的振盪頻率。(5 分)
#168270
⑴試決定系統極點(poles)與零點(zeros)。(5 分)
#168271
⑵試繪出波德圖(Bode Diagram),並標明其特徵。(10 分)
#168272
相關試卷
114年 - 114 高等考試_二級_機械工程:自動控制學#131590
114年 · #131590
114年 - 114 關務特種考試_三等_機械工程(選試英文):自動控制#126653
114年 · #126653
113年 - 113-2 國營臺灣鐵路股份有限公司_從業人員甄試_第8階-助理工程師-電機:自動控制#137141
113年 · #137141
113年 - 113 高等考試_二級_機械工程:自動控制學#123065
113年 · #123065
113年 - 113 關務特種考試_三等_機械工程(選試英文):自動控制#119475
113年 · #119475
112年 - 112 地方政府特種考試_三等_機械工程:自動控制#118354
112年 · #118354
112年 - 112 高等考試_二級_機械工程:自動控制學#116760
112年 · #116760
112年 - 112 高等考試_三級_機械工程:自動控制#115741
112年 · #115741
112年 - 112 關務特種考試_三等_機械工程:自動控制#113920
112年 · #113920
111年 - 111 地方政府特種考試_三等_機械工程:自動控制#112361
111年 · #112361