阿摩線上測驗
登入
首頁
>
自動控制學
>
103年 - 103年高考二級自動控制學#43084
> 申論題
題組內容
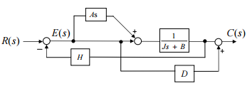
二、對於如下圖之閉迴路系統(closed loop control system),
⑴試繪製訊號流程圖(signal flow graph)。(10 分)
相關申論題
⑴輸出時間響應為何?
#137641
⑵該輸出時間響應之拉氏轉換(Laplace transform)為何?
#137642
⑴利用羅斯穩定準則(Routh stability criterion)推導該系統為穩定時,所需比例增 益 K 之範圍為何?(10 分)
#137645
⑵於系統為穩定之條件下,輸入為單位步階函數(unit step function)時之穩態誤 差(steady state error)ess 為何?(10 分)
#137646
⑶試繪製該閉迴路系統對應不同比例增益 K 值之根軌跡圖(root locus plot), 並標明極零點座標、漸近線(asymptotes)與實軸的交點、離開角(departure angle)、重合點(break-in point)的對應值。(20 分)
#137647
⑴ 試 繪 製 轉 移 函 數 G(s) 之 波 德 圖 ( Bode Diagram ) , 頻 率 範 圍 為 10−1 ~ 102 radian/second。(10 分)
#137648
⑵試依據奈式穩定準則(Nyquist stability criterion),繪製奈式圖(Nyquist plot), 並分析 K = 1000 時閉迴路系統之穩定性。(10 分)
#137649
3. 試求 θ2(t)為?
#562414
2. 假設 a = 1 為此系統參數之標準值,試求此系統類型及誤差常數。
#562413
4. 請完整的畫出此系統之根軌跡 (K> 0)。
#562412
相關試卷
114年 - 114 高等考試_二級_機械工程:自動控制學#131590
114年 · #131590
114年 - 114 關務特種考試_三等_機械工程(選試英文):自動控制#126653
114年 · #126653
113年 - 113-2 國營臺灣鐵路股份有限公司_從業人員甄試_第8階-助理工程師-電機:自動控制#137141
113年 · #137141
113年 - 113 高等考試_二級_機械工程:自動控制學#123065
113年 · #123065
113年 - 113 關務特種考試_三等_機械工程(選試英文):自動控制#119475
113年 · #119475
112年 - 112 地方政府特種考試_三等_機械工程:自動控制#118354
112年 · #118354
112年 - 112 高等考試_二級_機械工程:自動控制學#116760
112年 · #116760
112年 - 112 高等考試_三級_機械工程:自動控制#115741
112年 · #115741
112年 - 112 關務特種考試_三等_機械工程:自動控制#113920
112年 · #113920
111年 - 111 地方政府特種考試_三等_機械工程:自動控制#112361
111年 · #112361