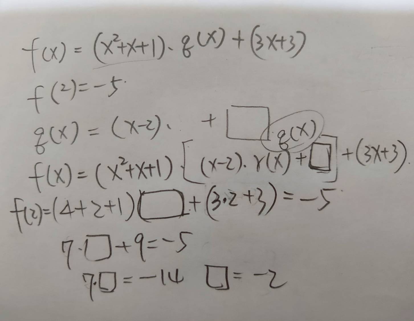
7. f (x)為多項式函數,已知f (x)除以x 2 + x + 1的商式為q (x)、餘式為3x+3,且 f (x)除以x − 2的餘式為−5,則q (x)除以x − 2的餘式為___________。
詳解 (共 2 筆)
詳解
選我正解!
詳解
