所屬科目:教師專業碩士◆數學
2. 假設n為一正整數且滿足 ,試求 之值。___________。
3. 若,則 ab+ a + b = ___________。
4. 若i = ,且(i + 1)n + (i − 1)n = 32,試求自然數 n 之值。________ 。
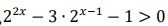
5. 不等式的解為_________。
6. 實驗室進行某種細菌的培養,已知此種細菌每 20 分鐘分裂成原數量的 2 倍, 若初期在培養皿中放入此種細菌 25 隻,預計要產生超過 100 萬隻的量,至少 需要經過多少分鐘?(= 0.3010)_________ 。
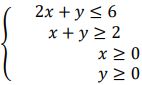
12. 求二元一次聯立不等式 所包圍的區域內共有多少個格子點(x坐標和y坐標均為整數點)? 。
13. 圖一三角柱的底面積為 a,側面積為b。 將 4 個這樣的三角柱緊密堆疊成圖二的直角柱, 則圖二直角柱的表面積為___________。
14. 取一線段為直徑做一圓,並在圓上取一點A與形成一個三角形,A在之垂足為D,若=? _________。
16. 如右圖,I點為∆ABC的內心,D 點在。若∠A = 71° ,∠B = 47° , 則∠CID= ____________。
18. 設 a ∈ R,直線y = ax+ 2和圓相切,試求 a之值。__________。
19. 已知拋物線C: y 2 = 3x的焦點為D,斜率為 的直線 L 與C的交點為A, B,與x軸 2 的交點為 P。若|AB| + |BD | = 4,試求 L 的方程式。_____________ 。
20. 設則 上的正射影長為___________。
24. 設 a、b為正整數,且 ,求找出滿足要求的分數 中,b最小值是多少?____________。