所屬科目:教師專業碩士◆數學
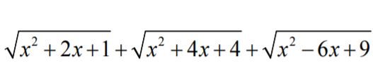
2.設 x 為實數,則 的最小值為_______。
4.有一桶水和酒精的混合液若干公升,已知水是全部混合液的 再多2公升, 酒精是全部混合液的 再多 32 公升,則該混合液是_______公升。
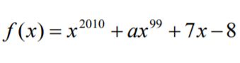
6.設a為實數,且被 x −1整除,則a = _______。
7.兩個圓形輪子用一條皮帶圍於外圍如下圖,大輪子的半徑為 20 公分,小 輪子的半徑為 5 公分,連心線長為 30 公分,則皮帶全長為_______公分。
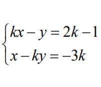
8.若k 為實數,且聯立方程式無解,則k =_______。
9.將循環小數化為最簡分數,其分子與分母之和為_______。
10.設a = ,且b 為a的小數部分,則b =_______。
11.如右圖,若 = 5, = 4,則 =_______。
12.設 A (1 , 2 , 3)與 B (5 , 4 , 3)為空間中兩點,則的垂直平分面方程式為 _______。
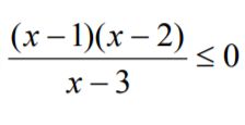
13.不等式 的解為_______
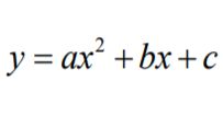
14.設一拋物線,若a > 0、b < 0且 ,則此拋物線的頂點在第_______象限。
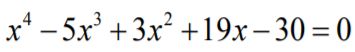
二、計算證明題(20%,請務必寫出計算或證明過程與結果) 1.若2 − i 為方程式的其中一根,試求該方程式其它三 根。(10%)
2.有一人欲測量塔高,他先在塔的正南方的 A 點仰望此塔, 仰角為 45 度,隨後往東走20公尺到達 B 點,再仰望此 塔,此時仰角為 30 度,則塔高為多少公尺?(10%)