阿摩線上測驗
登入
首頁
>
工程數學(應用數學, 線性代數、微分方程、複變函數與機率)
> 100年 - 100 調查特種考試_三等_電子科學組:工程數學#27304
100年 - 100 調查特種考試_三等_電子科學組:工程數學#27304
科目:
工程數學(應用數學, 線性代數、微分方程、複變函數與機率) |
年份:
100年 |
選擇題數:
0 |
申論題數:
8
試卷資訊
所屬科目:
工程數學(應用數學, 線性代數、微分方程、複變函數與機率)
選擇題 (0)
申論題 (8)
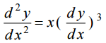
【已刪除】一、試求微分方程式之通解
(15 分)
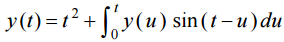
【已刪除】二、試求積分方程式之通解
(15 分)
⑴試求當存在唯一解時 , ba 值為何?(10 分)
⑵試求當存在無解時 , ba 值為何?(10 分)
⑴ Fourier cosine integral (10 分)
⑵ Fourier sine integral (10 分)
【已刪除】五、試求偏微分方程式之通解(20 分)
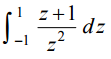
【已刪除】六、試求積分
其中積分路徑為單位圓 |z| =1 之上半部。(10 分)
相關試卷
114年 - 114 專技高考_電機工程技師:工程數學(包括線性代數、微分方程、複變函數與機率)#133679
114年 · #133679
114年 - 114 專技高考_電子工程技師:工程數學(包括線性代數、微分方程、向量分析、複變函數與機率)#133677
114年 · #133677
114年 - 114 調查特種考試_三等_電子科學組:工程數學#129578
114年 · #129578
114年 - 114 國家安全情報特種考試_三等_電子組(選試英文):工程數學#127780
114年 · #127780
113年 - 113 專技高考_電子工程技師:工程數學(包括線性代數、微分方程、向量分析、複變函數與機率)#123976
113年 · #123976
113年 - 113 專技高考_電機工程技師:工程數學(包括線性代數、微分方程、複變函數與機率)#123971
113年 · #123971
113年 - 113 調查特種考試_三等_電子科學組:工程數學#122110
113年 · #122110
113年 - 113 身心障礙特種考試_三等_電力工程:工程數學#119517
113年 · #119517
112年 - 112 地方政府特種考試_三等_電力工程、電子工程:工程數學#118376
112年 · #118376
112年 - 112 專技高考_電機工程技師:工程數學(包括線性代數、微分方程、複變函數與機率)#117639
112年 · #117639