阿摩線上測驗
登入
首頁
>
工程數學(應用數學, 線性代數、微分方程、複變函數與機率)
>
100年 - 100 調查特種考試_三等_電子科學組:工程數學#27304
> 申論題
題組內容
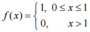
四、求
之
⑵ Fourier sine integral (10 分)
相關申論題
⑴試求當存在唯一解時 , ba 值為何?(10 分)
#48196
⑵試求當存在無解時 , ba 值為何?(10 分)
#48197
⑴ Fourier cosine integral (10 分)
#48198
(二)求得矩陣 A 之零空間(Null Space)N( A )。(10 分)
#557492
(一)求得線性方程式 Ax=b 之完整解(Complete Solution) 。(20 分)
#557491
四、假設週期函數f(x)之週期為 2π,f(x)=。計算f(x)之傅氏級數(Fourier Series)。(20 分)
#557490
三、求解以下初始值問題之常微分方程式:。 (20 分)
#557489
二、計算,其中路徑 C 為下圖所示複數平面 z = x+iy 上,圓心在原點 O 之單位圓。(15 分)
#557488
一、A 君擁有 3 個不同的電子郵件帳戶。其中70%郵件進入帳戶 1,20%進入帳戶 2,其餘 10%進入帳戶 3。在進入帳戶 1 的郵件中,只有 1%是垃圾郵件,而帳戶 2 和帳戶 3 垃圾郵件的相應百分比分別為2%與5%。若隨機選取 A 君 3 個電子郵件帳戶之一封郵件,而該郵件也是垃圾郵件的機率為何?(15 分)
#557487
五、已知f(x)=,並已知f(x)為機率密度函數,求取k值及其對應的累積分布函數。(20 分)
#557479
相關試卷
114年 - 114 專技高考_電機工程技師:工程數學(包括線性代數、微分方程、複變函數與機率)#133679
114年 · #133679
114年 - 114 專技高考_電子工程技師:工程數學(包括線性代數、微分方程、向量分析、複變函數與機率)#133677
114年 · #133677
114年 - 114 調查特種考試_三等_電子科學組:工程數學#129578
114年 · #129578
114年 - 114 國家安全情報特種考試_三等_電子組(選試英文):工程數學#127780
114年 · #127780
113年 - 113 專技高考_電子工程技師:工程數學(包括線性代數、微分方程、向量分析、複變函數與機率)#123976
113年 · #123976
113年 - 113 專技高考_電機工程技師:工程數學(包括線性代數、微分方程、複變函數與機率)#123971
113年 · #123971
113年 - 113 調查特種考試_三等_電子科學組:工程數學#122110
113年 · #122110
113年 - 113 身心障礙特種考試_三等_電力工程:工程數學#119517
113年 · #119517
112年 - 112 地方政府特種考試_三等_電力工程、電子工程:工程數學#118376
112年 · #118376
112年 - 112 專技高考_電機工程技師:工程數學(包括線性代數、微分方程、複變函數與機率)#117639
112年 · #117639