阿摩線上測驗
登入
首頁
>
工程數學(應用數學, 線性代數、微分方程、複變函數與機率)
>
100年 - 100 調查特種考試_三等_電子科學組:工程數學#27304
>
題組內容
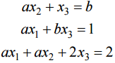
三、求解代數方程式
⑵試求當存在無解時 , ba 值為何?(10 分)
其他申論題
⑶單元冷卻器空氣側之熱傳面積 [m2 ]。(5 分) (水的凍結與汽化潛熱分別為 334 kJ/kg與 2501 kJ/kg;空氣在 0℃時的密度與比 熱分別為 1.292 kg/m3 與 1.006 kJ/(kg·K);牛肉比熱為 3.14 kJ/(kg ·℃))。
#48193
【已刪除】一、試求微分方程式之通解(15 分)
#48194
【已刪除】二、試求積分方程式之通解 (15 分)
#48195
⑴試求當存在唯一解時 , ba 值為何?(10 分)
#48196
⑴ Fourier cosine integral (10 分)
#48198
⑵ Fourier sine integral (10 分)
#48199
【已刪除】五、試求偏微分方程式之通解(20 分)
#48200
【已刪除】六、試求積分 其中積分路徑為單位圓 |z| =1 之上半部。(10 分)
#48201
一、聯合國氣候變化綱要公約(United Nations Framework Convention on Climate Change,簡稱 UNFCCC)是當前最受重視的國際公約之一,簽署該公約之會員體被要求依據京都議定書(Kyoto Protocol)執行溫室氣體排放減量。試說明京都議定書內容中,有關森林與溫室氣體減量間之相關規定。(25 分)
#48202
二、林業主管機關自民國 91 年推動社區林業計畫,請說明原住民部落或社區參與社區林業計畫之程序及其階段性目標。(25 分)
#48203