所屬科目:工程數學(應用數學, 線性代數、微分方程、複變函數與機率)
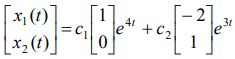
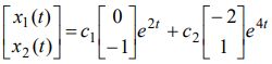
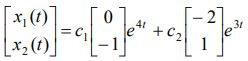
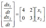
1 試求聯立微分方程式之通解? (A) ,其中c1,c2為常數(B),其中c1,c2為常數為常數 (C) ,其中c1,c2為常數 (D),其中c1,c2為常數
2設y1(x)及y2(x)是微分方程式A:y“+p(x)y'+9(x)y=0的解,而y3(x)及y4(x)是微分方程式
B:y"+p(x)x'+q(x)y=r(x)的解,則下列敘述何者錯誤?(題中p(x),q(x),r(x)為x之函數,且r(x)≠0)
(A)必定也是微分方程式A的解(其中c1及c2為任意常數)
(B)必定也是微分方程式A的解
(C)必定也是微分方程式B的解
(D)必定也是微分方程式B的解
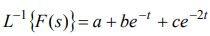
3假設函數之逆拉氏轉换(inverse Laplace transform)為人,其
中a、b、c為常數,求a+b+c?
(A)-3 (B) 2(C) 3 (D) 4
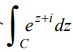
4 求複變函數積分之值,其中積分路徑 C 的參數式為 ,其中 i =√− 1 。 (A)(B)(C)(D)
5 解微分方程式 y ′ − 3 y = −6 y 2 , y (0) = −1 (其中 ) (A) (B) (C) (D)
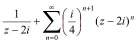
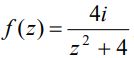
8 複變函數 為中心展開的羅倫級數(Laurent series)為何?其中 i = √− 1 。
(A) (B) (C) (D)
9 若 A 及 B 皆為正交矩陣(orthogonal matrix),則下列敘述何者不恒真? (A)矩陣 AB 也必為正交矩陣 (B)矩陣 A+B 也必為正交矩陣 (C)矩陣A-1也必為正交矩陣 (D)(其中det X表矩陣X的行列式值)
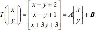
10 轉換 T : R 2 → R 3 定義為,則:
11 設 A 為 3× 3 的矩陣,若 A 的行列式值 ,則 det(-2A)之值為何? (A)-6 (B)6 (C) 24 (D)-24
12令矩陣 ,則下列敘述何者錯誤? (A) (B)若 θ = π / 10 ,則矩陣 B 為單位矩陣(unit matrix) (C)無論 θ 為何值,矩陣B及的特徵值(eigenvalue)之絕對值均為 1 (D)無論 θ 為何值,矩陣B及的行列式值(determinant)均為 1
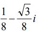
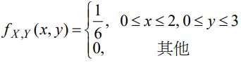
13 兩連續隨機變數 X、Y 之結合機率密度函數(joint probability density function)為 ,求 P( X < Y ) =? (A) (B) (C) (D)
14 一個盒子中有 998 個黑球及 2 個白球,若自盒中隨機挑選 500 球,令 x 為其中白球之數量,試求條件機 率 P ( x = 1 | x = 1 或 x = 2) =?(A) (B) (C) (D)
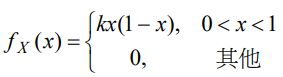
16 若 X 為一連續隨機變數(continuous random variable),其機率密度函數(probability density function)為 ,試求 k =? (A)1 (B)2 (C)3 (D)6
17 求 之值為何? (A) (B) (C) (D)
18 請計算 之值,其中 i = √− 1 。 (A) − 4 + 4i (B) 4i (C)−4 (D)4
19 若 ϕ ( x, y , z) = xy − yz + xyz ,則其在點 P = (0,−1, 1) 之最大改變率(rate of change)之值為何? (A)−2 (B)2 (C) √5 (D) √6
一、令 ,試求 f (t ) 之拉氏轉換(Laplace transform)。
(三)求。
三、試解微分方程 x y ′′′ − 3x2 y ′′ + 6 xy ′ − 6 y = x4 ln x ,其中 x > 0 , 以下類推。
四、設 v = xyi − 4 j + zyk 及 A = (0, 1, 0) 、 B = (2, 0, 1) 、D = (3, 2, 1) 等三點,若 C 為由 A 到 B 及 B 到 D 兩直線線段所組成。 求 ( xydx − 4dy + zydz ) = ?