阿摩線上測驗
登入
首頁
>
工程數學(應用數學, 線性代數、微分方程、複變函數與機率)
>
100年 - 100 高等考試_三級_電力工程、電子工程、醫學工程:工程數學#96868
> 申論題
題組內容
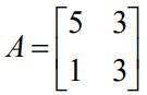
二、設矩陣
(二)求 A 的特徵向量(eigenvectors)。
相關申論題
一、令 ,試求 f (t ) 之拉氏轉換(Laplace transform)。
#405987
(一)求 A 的特徵值(eigenvalues)。
#405988
(三)求。
#405990
三、試解微分方程 x y ′′′ − 3x2 y ′′ + 6 xy ′ − 6 y = x4 ln x ,其中 x > 0 , 以下類推。
#405991
四、設 v = xyi − 4 j + zyk 及 A = (0, 1, 0) 、 B = (2, 0, 1) 、D = (3, 2, 1) 等三點,若 C 為由 A 到 B 及 B 到 D 兩直線線段所組成。 求 ( xydx − 4dy + zydz ) = ?
#405992
(二)求得矩陣 A 之零空間(Null Space)N( A )。(10 分)
#557492
(一)求得線性方程式 Ax=b 之完整解(Complete Solution) 。(20 分)
#557491
四、假設週期函數f(x)之週期為 2π,f(x)=。計算f(x)之傅氏級數(Fourier Series)。(20 分)
#557490
三、求解以下初始值問題之常微分方程式:。 (20 分)
#557489
二、計算,其中路徑 C 為下圖所示複數平面 z = x+iy 上,圓心在原點 O 之單位圓。(15 分)
#557488
相關試卷
114年 - 114 專技高考_電機工程技師:工程數學(包括線性代數、微分方程、複變函數與機率)#133679
114年 · #133679
114年 - 114 專技高考_電子工程技師:工程數學(包括線性代數、微分方程、向量分析、複變函數與機率)#133677
114年 · #133677
114年 - 114 調查特種考試_三等_電子科學組:工程數學#129578
114年 · #129578
114年 - 114 國家安全情報特種考試_三等_電子組(選試英文):工程數學#127780
114年 · #127780
113年 - 113 專技高考_電子工程技師:工程數學(包括線性代數、微分方程、向量分析、複變函數與機率)#123976
113年 · #123976
113年 - 113 專技高考_電機工程技師:工程數學(包括線性代數、微分方程、複變函數與機率)#123971
113年 · #123971
113年 - 113 調查特種考試_三等_電子科學組:工程數學#122110
113年 · #122110
113年 - 113 身心障礙特種考試_三等_電力工程:工程數學#119517
113年 · #119517
112年 - 112 地方政府特種考試_三等_電力工程、電子工程:工程數學#118376
112年 · #118376
112年 - 112 專技高考_電機工程技師:工程數學(包括線性代數、微分方程、複變函數與機率)#117639
112年 · #117639