所屬科目:教師專業碩士◆數學
4. 設 Z = a + bi , 其 中 i = √−1 , 則 Z 可 以 表 示 成 Z = (cosθ + isinθ ) , 這 裡 。當0 ≤ θ < 2π 時,稱θ 為( )角。若以為例, 則此角為( )。
6. 若行列式之值為( )。
9. 若 ,求 x 解集合為( )。
10.若,則 x = ( )。
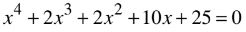
12. 的四個根為( )。
14.試求 sin3 x + 4cos x = 的所有實數解 x = ( )。
15. 上的正射影長度為( )。
16.設 ,則 A的反矩陣 = −1 A ( )。
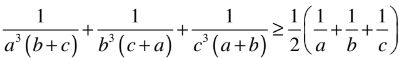
二、計算證明題(16%,每題 8%,請務必寫出計算過程和結果)1. 設a b c , , 為正數,且滿足abc =1,請證明
2. 試求過點( 3,1 )與雙曲線 相切的所有直線方程式。