所屬科目:身心障礙升大專-數甲
4. 數列 (A) (B) (C) (D)
7. 實係數方程式 有重根與另一實根1,下列何者為真
(A) ab=cd (B)(C) (D)
8. a,b為實數,若的最小公倍式為 四次式,a+b= (A) -4 (B) -2 (C) 2 (D) 4
9. 當內接矩形有最大面積時,此矩形的外接圓面積為 (A) (B) 2abπ (C) 4abπ (D)
10. a,b,c,d 均為實數且=16 則(a-d)(b-c)的最大值為 (A) 49/2 (B)12 (C) 25/2 (D) 24
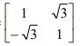
11. 2*2階矩陣 ,下列何者為真 (A) A=AT (B) A2 =2A (C) A3 =4I (D) |A6 |=84
14. 實係數方程式 有一根1+2i,則p+q= (A) 7 (B) 5 (C) 10 (D) 13
15. 多項式,已知f(-3)=-3, f(2)=2, f(5)=5, 令 g(x)=f(x)+x,則g(x)在下列何區間有實數解 (A) (1, 2) (B) (2,3) (C) (3,4) (D) (-2,-1)
16. ,下列何者值為最大 (A)tan2θ (B) sin2θ (C) cos2θ (D) cosθ
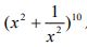
17. 最小值為 (A)0 (B) 1/2 (C) 3/8 (D)4/9
19. 展開後x8的係數為 (A) 120 (B) 210 (C) 45 (D) 10
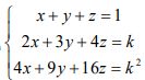
20. a,b,c為聯立方程式 的實數解,且滿足 | abc|= 9 ,則k可 為以下何值? (A) 3 (B) 4 (C) 5 (D) 6