所屬科目:身心障礙升大專-數甲
1. 坐標平面上,已知二次實係數函數 y=ax²+bx+5的圖形通過點 (2,1) 和 (4,5)。試求此函數圖形頂點的y坐標為何? (A) 0 (B) 1 (C) 3 (D) 5
2. 某商品由 A與B兩種食品組成,已知製作此商品的 A 含量為 100克±5%,B含量為200克±11%。若想在此商品的包裝上標示總含量為300克±x%,試問x的最小值為何? (A) 5 (B) 7 (C) 9 (D) 11
3. 有一數列,已知a₁、a₂、a₃、a₄成等差數列、a₃、a₄、a₅、a₆成等比數列。若a₁=-、a₂=-2。試問下列哪一個選項的值會小於-1? (A) a₃ (B) a₄ (C) a₅ (D) a₆
4. 某款「步步高升」抽獎遊戲,標有數字6到11的卡片各一張,共六張。隨機抽取3次,每次抽取1張,取後不放回。已知每張卡片被抽取的機率相等,在第二次抽到卡片是偶數的條件下,試求這三次抽出卡片的數字,依抽取的先後順序呈現遞增的機率為何? (A)(B)(C)(D)
5. 已知兩實數 a,b滿足1<a<2、8<b<10,試問哪一個選項的值最大? (A) 3loga+logb (B) loga+2logb (C) (D)
6. 某桌遊店推出促銷活動,兌換一個卡包需使用1張優惠券,而兌換一套桌遊需使用2張優惠券。已知該桌遊店有 A、B、C、D、E、F共六款卡包和甲、乙、丙、丁、戊等五款桌遊,每款均只可兌換一次。試問恰使用完5張優惠券時,可以有多少種不同的兌換組合(兌換 A、B、C和甲,以及兌換 B、C、D和甲視為兩種不同的兌換組合)? (A) 66 (B) 106 (C) 160 (D) 166
7. 坐標平面上,設直線y=2x與圓 (x-a)² +(y-a)² =9交於兩點,已知這兩點的距離為2,且a為大於0的實數。試問a值為何? (A) 2√2 (B) 2√5 (C) 2√10 (D) 2√15
8. 平面上令向量=(cosθ,sinθ)、=(-sinθ,cosθ),其中 0≤θ<2π。試問向量 (1,2)與之內積的最大值為何? (A) 5√5 (B) 15 (C) 15√5 (D) 25
9. 已知 為逆時針旋轉θ的旋轉矩陣,其中0≤θ<2π且 ad+bc =。下列選項中,試選出a可能的值。 (A)(B)(C)(D)
10. 某社區 100人的所得a(單位:萬元)與人數如下:
a≤50的人數有 35人;50<a≤100的人數有30人;
100<a≤150的人數有 20 人; 150<a≤200的人數有 10人;
200<a的人數有5人。
已知此社區某甲所得為 130 萬元,若此社區第k百分位數的所得與某甲相差75萬元,則k的值 不可能 為下列哪一個選項? (A) 39 (B) 58 (C) 77 (D) 96
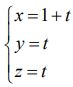
11. 坐標空間中,在平面E上有一個過點 (1,2,4)的圓,已知通過此圓圓心且與E垂直的直線參數式為 , t為實數,試問此圓面積為何? (A) 6π (B) 8π (C) 12π (D) 20π
12. 已知實係數三次多項式f(x)=x³+ax²,其函數圖形在對稱中心附近會近似於直線y=-12x+8。試求對稱中心的X坐標為何? (A) 0 (B) 2 (C) 4 (D) 6
13. 若實數a、b滿足 −2且 −12,則a-b的值為何? (A) -3 (B) -1 (C) 1 (D) 3
14. 某甲今年共有500次上場打擊,其中一壘安打有 100次,二壘與三壘安打共 50次,全壘打有 50次,其他情形共300次。某節目邀請某甲上場打擊拿獎金,規則為若打出n壘安打,則得n²萬元,其中n=1,2,3;而全壘打可得 16 萬元。依據上述,設將某甲今年打擊的各種安打次數除以總打擊次數 500 次作為其出現機率,試選出某甲參加此節目上場打擊 1次,可得獎金期望值最高為多少元? (A) 1.7萬 (B) 2.2萬 (C) 2.7萬 (D) 3.2萬
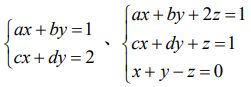
15. 若實數 a,b,c,d 使得兩方程組均有無限多組解,則a值為何? (A) 1 (B) 2 (C) 3 (D) 4
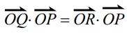
16. 設坐標平面的原點為O,另有點P(2,3)與點Q滿足向量的長度的長度。試問長度為何? (A) 4 (B) 2√5 (C) 6 (D) 2√10
17. 平面上有一圓內接四邊形 ABCD,已知。若 ∠BAD為鈍角且三角形 BAD 面積為12。試求的長度為何? (A)(B) 3√5 (C) (D) 8
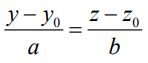
18. 坐標空間中有一直線L與原點O,已知L上任取一點 A均滿足向量(-4,2,4)與的內積為3。設L的方程式為 (x-x₀)/a =, 其中x₀,y₀,z₀,a,b均為實數。試求a+2b的值為何? (A) 3 (B) 2 (C) 1 (D) 0
19. 設坐標空間的原點為O。另有三相異點 P(1,1,0)、Q、R,其中Q、R在平面 x+y+z=1 上。已知 |OQ|=|OR|=3,且向量內積 = 0。試問的值為何? (A) -9 (B) -7 (C) 0 (D) 3
20. 已知一個x、y、z的三元一次聯立方程式有唯一解,其增廣矩陣為A。若僅刪除A的第一列,對應的聯立方程式的解(x,y,z)至少有(1,0,0)、(1,1,0)兩個。若僅刪除A的第二列,對應的聯立方程式的解 (x,y,z) 至少有 (2,4,1)、(3,6,2)兩個,試問該聯立方程式的唯一解(x,y,z)為何? (A) (1,2,1) (B) (2,1,0) (C) (3,2,1) (D) (1,2,0)