所屬科目:身心障礙升大專-數甲
1. 設 a b, 為實數。已知 的圖形都在y=x2圖形的下方,試選出 正確的選項。 (A) a ≠ 0且 b > 0 (B) a ≠ 0且 b , 0 (C) a = 0且 b > 0 (D) a = 0且 b < 0
3. 實係數多項式 f (x) 除 以 的餘式為2x-2 , f (x) 除 以 的餘式為 ax + 2 ,其中 a 為實數。試問 f (x)除 以的餘式為何? (A) x -1 (B) 2 x-2 (C) 2x-4 - (D) - x+5
4. 坐標平面上有兩條直線 L : y= x 與 M : y =2 。已知 y =1與直線 L,M 分別交於 A, B 兩 點, y = 2與直線 L M, 分別交於 C D, 兩 點。試 問 梯 形 ABDC 的面積為何? (A) (B) 1 (C) (D) 2
5. 坐標平面上有一圓,其圓心在直線 2 x3y =11 與 2x-5y =3 的交點 上,且與 3x+4y=6相切,試問此圓的方程式為何? (A) (B) (C)(D)
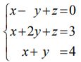
6. 聯立方程組的增廣矩陣,經過高斯消去法的運算,可 化簡成下列哪一個選項?
(A)(B) (C) (D)
7. 有一鈍角三角形 ABC,其三邊長分別為 5、10、 12, ∠A為鈍角。 今 做 ∠A之角平分線交 BC 邊 於 D 點,則 cos∠DAB 的值為何? (A) (B) (C) (D)
9. 設二階實數方陣 M 滿足 。 試 問 為下列哪一個選項?
(A) (B) (C) (D)
10. 坐標平面上, L 為過點 (1, 3) 的直線,已知 L 與 x 軸不平行且原點 (0, 0)與 L 的距離為 3。試問直線 L 的斜率為何? (A) (B) (C) (D)
11. 空間中有=(a,b,0)兩向量,其中 a b, 為實數,已知 的內積為 5。試問向量長度 的最小值為何? (A) √5 (B) 5 (C) 5 √5 (D) 25
12. 現 有 A,B,C,D,E,F 等 6 件不同款式的衣服,平分給甲、乙、丙三 人,每人隨機分到 2 件。在甲沒有拿到 A款式衣服的條件下,試 求乙拿到 B款式衣服的機率為何? (A) (B) (C) (D)
13. 坐標平面上有 O、 A、 B、 C 四點,其中 O 為原點、 A 點坐標為 ( √10, 0)、 B 點坐標為 (0, √10)、 C 點在第一象限。已知 = √10 且 = 4。試問 sin∠BOC 的值為何? (A) (B) (C) (D)
14. 空間中有兩向量 ,其 長 度 均 為 15,夾 角 為 θ。已 知 sinθ= , 試問由 所張出之平行四邊形的面積 為何? (A) 21 (B) 63 (C) 7 2 (D) 216
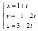
15. 空間中一直線 L,其參數式為 ,t 為實數。試從下列選項 中,選出與直線 L不相交的平面。 (A) (B) (C) (D)
18. 試問函數 的最大值為何? (A) 1 (B) 3 (C) 6 (D) √6 -2
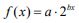
19. 設 a b, 為非零整數。已知 的圖形為凹口向下,且,試選出正確的選項。 (A) a > 0且 b > 0 (B) a > 0且 b < 0 (C) a < 0且 b > 0 (D) a < 0且 b< 0
20.令 i =√ -1。已知複數 z化為極式,其主幅角為 ,且 z的長度 。 試 問 z6 的值為何? (A) -1 (B) i (C) 8 (D) 8i