所屬科目:身心障礙升大專-數甲
1.數列為一首項a1=2、公比為r的等比數列,某甲在計算數列的前三項時,誤將等比數列看成等差數列,公比看成公差,其他 步驟都沒做錯,結果得出前三項為2、6、10。試問此數列的第三項a3之值應為何? (A)4 (B)8 (C)16 (D)32
2.滿足y>x2且y≤-3x的整數數對(x,y) 共有幾組? (A)1 (B)2 (C)3 (D)4
3.某速食店販售薯條,有大薯與中薯兩種規格,大薯每包標示重量 為125±15公克,中薯每包標示重量為100±15公克。假設大薯、中 薯實際重量必在標示重量範圍內,若想描述一包大薯實際重量x與一包中薯實際重量y 的重量差值,可以用下列哪一個不等式的選項表示? (A)0 ≤| x-y |≤ 55(B)10 ≤| x-y |≤ 40 (C)0≤ | x-125 |-| y-100 |≤ 15(D)-15 ≤| x-125 |-| y-100 |≤ 30
4.已知實係數多項式f(x)除以(x-1)(x2+x+1)與(x2+x+1)的餘式分別為x2+bx+c與2x+1。試問f(x)除以x-1的餘式為何? (A)2 (B)4 (C)6 (D)8
5.已知三角形ABC中,,60°<∠A<120° 。試問共有多少個整數可能為的值? (A)4 (B)5 (C)6 (D)7
6.從2到21的20個整數中,依序隨機挑選兩個相異數字a、b。假設每 組數對(a,b) 被挑選到的機率皆相同,試問挑出的數對(a,b)使得為整數的機率為何? (A)(B)(C)(D)
9.坐標平面上,O為原點。已知第二象限上一點P(a,b)滿足, 且向量與向量(0,1)的內積•(0,1)=2。試問•(2,-1)之值為何? (A)-8 (B)-2 (C)4 (D)6
10.有A、B、C三組數據資料:設這三組資料內10個數對的相關係數分別為。試選出正確的選項。 (A)(B) (C)(D)
11.已知(cosθ+1)2+(sinθ-2)2=6,則tanθ之值為何? (A)(B)(C)2 (D)3
15.已知行列式=0,試選出正確的選項。 (A)a=b (B)a>0 (C)b=0 (D)a=log2
16.坐標空間中,已知(1,-2,3)與 (-5,4,1)兩點到平面E 的距離相等,且E與平面2x-2y+z=3不相交。則點(3,-2,1)到平面E的距離為何? (A)5 (B)4 (C)(D)
17.已知三角形ABC中,=1,。若D 與E分別為與的中點,試問向量與向量的內積的值為何? (A)(B)(C)(D)
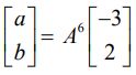
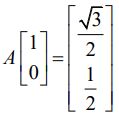
18.坐標平面上,設A 為二階實係數旋轉矩陣。已知。 令,試求a+b的值為何? (A)-1 (B)1 (C)3 (D)5
20.坐標空間中,已知兩點A(-1,2,-3)、B(0,2,-3)與平面E:, 試求線段在平面E的投影長度為何? (A)(B)(C)(D)