所屬科目:身心障礙升大專-數甲
1. 投擲某種不公正的硬幣一次,出現正面的機率為 ,反面為。若 同時投擲此種硬幣兩枚,則出 現一正一反的機率為何? (A)(B) (C)(D)
2. 設二次函數 y= f(x)=ax2-bx+c的圖形與 x軸沒有交點,且方程式f (x)= 0 有一根的實部為 的值為何? (A)(B) -4 (C) 4 (D)
3. 在 ABC中,已知 ∠C為直角, ∠A = ° 60 。 在上取一點 D ,使得平 分 ∠A。 若 = 4, 則 △ABC的面積為何? (A) 8 (B)(C) 12 (D)
4. 坐標平面上,已知向量 = 20, 的長度為何? (A) 4 (B) 5 (C) 8 (D) 10
5. 坐標空間中有三點 A 、 B 、 C ,已知內積 = -2,外積 = -( 2,4,4),試求△ABC 面積的值為何? (A) 3 (B) 5 (C) 6 (D) 10
6. 滿足條件 |x|+|x-2|+|x-4|+|x-6|=10的所有實數 x 的和是下列哪一個 選項? (A) 6 (B) 8 (C) 10 (D) 12
7. 甲、乙兩人玩「剪刀、石頭、布」這種猜拳遊戲,規則為石頭贏 剪刀、剪刀贏布、布贏石頭,若出同樣的拳算平手。甲、乙兩人商量總共玩三次,每人出剪刀、石頭和布各一次。已知在第一次 甲獲勝的情形下,則甲連勝三次的機率為何? (A) (B) (C) (D)
8. 已知不等式 0<a≤|x-b|≤c的解集合為 { x| 3≤x≤d或0≤x≤1},試求 d 的值為何? (A) 3.5 (B) 4 (C) 4.5 (D) 5
9. 下列選項中,哪一個矩陣的行列式值與矩陣的行列式值相同? (A) (B)(C) (D)
10. 平面上相異三點 A、 B、 C 。若向量的長度的值為何 ? (A) 1 (B) 2 (C) 3 (D) 5
11. 已知銳角 △ABC 中 , ∠A的對邊為 a , sin A =2a sinB 。 若△ABC 的外接圓半徑為 1, 則 sin B 的值為何? (A) (B) (C) (D)
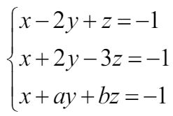
12. 設 a、 b為實數,若方程組有不只一組解,則 a+ b 的值為何? (A) -1 (B) 0 (C) 2 (D) 3
13. 已知兩整數 a b, 的絕對值皆小於 3,又 ab =1 且 b ≥ 0,試求數對 ( a,b ) 有多少組解? (A) 3 組 (B) 4 組 (C) 6 組 (D) 7 組
15. 令。關於 a、 b 、 c 的大小關係,試選出 正確的選項。 (A) b> c> a (B) a> c> b(C) c>b =a (D) b=c>a
16. 設, 若 3cos2x- 4sin 2x=0, 則 tan x的值為何? (A)(B) (C)(D)
17. 有 一△ABC,已知 的中點,試求內積的值為何? (A) 13 (B) 15 (C) 16 (D) 22
18. 坐標平面上,有一圓Γ與 x軸以及直線均相切。已知圓Γ的圓心在直線,試求圓Γ的半徑為何? (A) (B) 1 (C) (D) 2
19. 坐標空間中三點 A( -2, -2,1) - 、 B(4,1, -5) 、 C(1,1,1) 。 若 D點在線段上,且, 則的長度為何? (A)(B) 3 (C)(D)
20. 複數平面上,z1 、 z2 滿足 |z1|=|z2|=|z1-z2|=1,其中|z|表示複數z的長度。試求 |z1+z2|的值為何? (A) 1 (B) (C)(D) 2