所屬科目:身心障礙升大專-數甲
3.若實係數三次多項式f(x)=x3+ax2+bx-5除以 x-1、x-2、x-3 所得出的餘式相同,試問 f(4) 的值為何? (A)-6 (B)-5 (C)5 (D)7
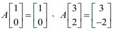
4.設為二階實係數方陣。已知 。 若 ,試求p+q的值為何? (A)1 (B)3 (C)4 (D)5
5.某座湖上有一種藻類,每隔一天這種藻類覆蓋湖面面積會成長為原來的兩倍,依此成長模式,在第六十天湖面就會被這種藻類蓋滿。若想在藻類覆蓋湖面面積一開始超過3%時,就立刻採取清除行動,試問是在第幾天就須採取行動? (註:) (A)第2天 (B)第5天 (C)第50天 (D)第55天
6.坐標平面上有兩向量,已知的長度為1,且垂直、垂直。試求的長度為何? (A)2 (B)4 (C)8 (D)16
7.已知坐標空間中三點 O(0,0,0)、A(5,4,3)、Ba(,0,0) 以及∠OBA=,其中a>0 。試求a的值為何? (A)6 (B)8 (C)10 (D)12
8.假設0<θ<2π,已知,試選出正確的選項。 (A) (B) (C) (D)
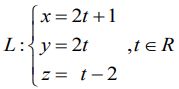
10.空間中有兩平面 E1:x+y-z=3、E2:x+y-z=9 與一直線 。若 L 和 E1、E2 分別交於 P、Q 兩點,試求線段的長度為何? (A)3 (B) (C)6 (D)
11.坐標平面上有三點 O(0,0)、A(2,0)、,和一條通過點 O 與線段中點的直線 L 。若 L 跟直線 x=3 交於點 P ,且向量,則 rs+ 的值為何? (A)1 (B) (C)2 (D)
12.坐標平面上一個圓(x-1)2+y2=1 與一條通過此圓的圓心C的直線L。已知L和x軸正向的夾角且L和圓Γ、x=3分別交於P、Q 兩點。若A點坐標為(3,0),則三角形△CAP 面積與三角形△CAQ 面積的比值為下列哪一個選項? (A) (B) (C)2sinθ(D)2cosθ
13.已知實係數函數f(x)=3x3+ax+b圖形的對稱中心為(x0,y0),其中ab≠0,試選出正確的選項。 (A)g(x)=3x3-ax-b圖形的對稱中心為(x0,-y0) (B)g(x)=x3+ax+b圖形的對稱中心為(3x0,3y0) (C)g(x)=3x3+a(x+1)+b圖形的對稱中心為(x0+1,y0) (D)g(x)=3x3-a(x-1)+b圖形的對稱中心為(-x0-1,y0)
14.若三階行列式,則坐標空間中,向量在z 軸的投影長度為何? (A) (B) (C)1 (D)
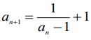
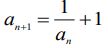
15.有一數列符合以下規則:a1=1。若n是奇數時,;n 是偶數時,。試問的值為何? (A) (B) (C)4 (D)8
16.有A、B兩個不透明箱子,A箱中放置了號碼為1、2、3、4的四 顆球,而B箱中放置了號碼為2、4、6、8的四顆球。甲、乙兩 人玩抽球比大小的遊戲,甲由A箱、乙由B箱每次隨機各取一 球,每次取球後球不再放回,直到箱中沒有球為止。每顆球被抽 中的機率均相等,試求乙每次抽球號碼都大於甲的機率為何? (A) (B) (C) (D)
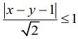
17.滿足(x-3)2+(y-2)2<9且的整數數對(x,y)共有幾組? (A)10 (B)11 (C)12 (D)13
18.設向量。若三個向量的和為零向量,下列選項中,試選出α 可能的值。 (A) (B) (C) (D)
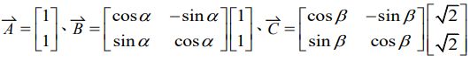
20.某條路上有三間早餐店,某甲觀察並記錄第一間的排隊人數為 M,接著就直接前往第二間店,若第二間排隊人數小於M,就選 定第二間排隊,否則就選定第三間排隊。假設三間的排隊人數為4、10、20人,不知道哪間是多少人,但每種情形出現機率均相 等。試問選定的那家店排隊人數的期望值為何? (A) (B)10(C) (D)