所屬科目:身心障礙升大專-數甲
1. 下列哪一個選項所決定的圓弧弧長最大? (A) 半徑 10,圓心角60° (B) 半徑 5,圓心角 2 弧度 (C) 半徑π ,圓心角π 弧度 (D) 半徑30π ,圓心角弧度
2. 箱子內有 1 顆黑球,2 顆黃球,3 顆白球。從箱中隨機抽取兩顆球,則此兩 顆球顏色不一樣的機率為下列哪一個選項?(A)(B) (C) (D)
3. 將 乘開之後, x2 項係數為 下列哪一個選項? (A) 0 (B) 1 (C) 2 (D) 3
4. 設O為坐標平面的原點。平面上有兩動點P 、Q ,其在時間t 的位置分別為 ,其中t ≥ 0。請問當向量與垂直時,P點 的坐標為下列哪一個選項? (A) ( -4,2) (B) ( - 2,3) (C) (0,4) (D) (2,5)
5. 令 f (x ) 為實係數多項式。若 ,則之值為下列哪一 個選項?(已知當 z 為複數時, ) (A) 5 (B) 3 - 4 i (C) 5 + 5 i (D) - 1- 7 i
6. 坐標空間有三定點O(0,0,0)、 A(1,2,3)、B(3,1,4) 與一動點。請問當t 等於下列哪一個選項時,P 會落在向量 與所張出的平面上? (A) 1 (B) 2 (C) 3 (D) 4
7. 坐標平面上,圓Γ的圓心為(5,7),半徑為r 。若Γ與 x軸、 y 軸皆相交,且點 (10,14) 在圓外,則r 可能為下列哪一個選項?(A)8(B)9(C)10(D)11
8. 請問下列哪一個選項的值最小? (A) (B)(C) (D)
9. 丟擲一均勻銅板n次,令隨機變數 X 表示出現正面的次數。已知,則n為下列哪一個選項? (A) 15 (B) 16 (C) 17 (D) 18
10. 坐標平面上,有一三角形 ABC,其中 A(5,0)、B(4,3)、C(1,2),則sin A的值 為下列哪一個選項? (A) (B) (C) (D) 1
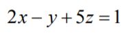
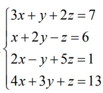
11. 已知聯立方程組有唯一解。請問刪掉哪一個方程式之後,剩 下的聯立方程組會有無窮多解? (A)(B) (C)(D)
12. 設a為正實數且a ≠1。已知P 、Q 為函數x 圖形上的兩點且其 x坐標 分別為 2、8。已知直線PQ的斜率為,請選出正確的選項。 (A) (B) (C) (D)
13. 請問同時滿足絕對值不等式與二次不等式 的整數 k 有多少個? (A) 12(B)14 (C) 16 (D) 18
14. 考慮三角形 ABC ,已知且 ,則sin A之值為下列哪一個選 項? (A) (B)(C) (D)
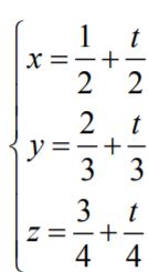
15. 坐標空間中,考慮點Q(1,1,1),直線L: ,t 為實數,與通過(0,0,0)、 與(1,1,1)三點的平面E。已知點Q 在直線L上,直線L在平面E上。 請問點P(3,2,5)到下列哪一個選項的距離最短? (A) 點Q (B) 直線L (C) 平面E (D) xz 平面
16. 已知M 是一個 2 乘 2 的矩陣,且滿足 M、 M 。請問M 的 反方陣為下列哪一個選項? (A) - (B)(C) (D)
17. 坐標平面上,已知直線L : 的斜率m為整數,且L沒有通過第 三象限。請問m的值有多少種可能? (A) 4 (B) 5 (C) 6 (D) 7
18. 丟擲某一銅板,出現正面的機率為 p,出現反面的機率為1- p,其中0 ≤ p ≤ 1 。 今丟擲此銅板兩次,若兩次都出現正面,可得獎金 100 元;若兩次都出現反 面,可得獎金 150 元;若出現一次正面一次反面,可得獎金 200 元。請問下 列哪一個選項的 p 值,其獎金的期望值為最大? (A) p = (B) p = (C) p = (D) p = 1