所屬科目:身心障礙升大專-數甲
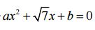
1. 已知 E 、F 為某樣本空間中的兩個互相獨立的事件,且其發生機率各為 。請問 等於下列哪一個選項? (A) (B)(C)(D)
2. 箱中有大小相同的 12 顆球,其中 6 顆綠色,4 顆藍色,2 顆紅色。隨機同時 抽出 3 顆球,請問恰好抽出 1 顆綠球,1 顆藍球與 1 顆紅球的機率為下列哪 一個選項? (A) (B)(C) (D)
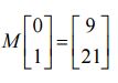
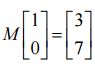
3. 設 M 為二階實係數方陣。已知 且 ,請問 M 的行列式 值為下列哪一個選項? (A) 0 (B) 3 (C) 7 (D) 21
4. 設 L 為坐標平面上通過點 (2,3) 的直線。已知 L 的 x 截距等於 8 。請問 L 的斜率 為下列哪一個選項? (A) - (B) -1 (C) - (D) -2
5. 已知 P(3,2,1) 與為坐標空間中的兩個點,且向量 垂直於平面 。請問 a + b 等於下列哪一個選項? (A) 0 (B) 1 (C) 2 (D) 3
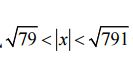
6. 請問滿足不等式的整數 x 有多少個?(A)36(B)38(C)40(D)42
7. 已知 。請問 log756000 的值最接 近下列哪一個選項?(A)5.85(B) 5.88 (C) 5.91 (D) 5.94
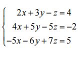
8. 關於聯立方程式的解 ,請選出正確的選項。 (A) 無解 (B) 恰有一個解 (C) 恰有兩個解 (D) 無窮多解
9. 坐標平面上,圓 及其內部被兩坐標軸分割成四個區域。 請問這四個區域當中,在哪一個象限的面積為最小? (A) 第一象限 (B) 第二象限 (C) 第三象限 (D) 第四象限
10. 設為坐標平面上相異三點,已知向量 垂直 ,且 。請 問兩內積之比值 等於下列哪一個選項? (A) (B) 2 (C) 2 (D) 4
11. 投擲三枚均勻銅板。令隨機變數 X 代表銅板出現正面個數的平方加反面個數 的平方。請問 X 的期望值是下列哪一個選項? (A) 4 (B) 6 (C) (D) 9
12. 在坐標平面上,請問兩函數圖形交點的 x 坐標在下列哪一個 範圍內?( ) (A) (B) (C)(D)
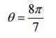
13. 請問角度 θ (以弧度計)是下列哪一個選項時,會滿足 ? (A) (B) (C) (D)
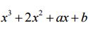
14. 設 a b, 為實數。請問多項式 除以多項式的餘式 不可能是下列哪一個選項? (A) 零 (B) 非零的常數 (C) 一次多項式 (D) 二次多項式
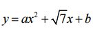
15. 設 a b, 為實數,已知二次函數 的圖形沒有通過第二象限。關 於的兩個根,請選出正確的選項。 (A) 必為兩實根 (B) 必為兩虛根 (C) 兩根乘積必大於或等於零 (D) 兩根乘積必小於零
16. 已知坐標平面上,點 P 位於第一象限且與原點 O 的距離為 8,已知向量 與 x 軸正向的夾角為弧度。請問 P 點到直線的距離等於下列哪一個 選項? (A) 4 (B) (C) (D) 8
17. 設 △PQR 是面積等於 的正三角形。已知 S 點在 △PQR 的內部或邊上,且 △PQS 的面積等於 。請問 sin∠PSQ 的最大值為下列哪一個選項? (A) (B) (C) (D) 1
18. 設 P 、Q 、R 為一個正立方體的其中 3 個頂點,已知 = 5 , =10。 請問此正立方體兩個頂點間最長的距離為下列哪一個選項? (A) 10 (B) (C) (D) 10
19. 設 。在複數平面上, O 為原點且 P 、Q 分別為複數 z、 z 2所對應的 點。請問 sin∠POQ 為下列哪一個選項? (A) (B)(C)(D) 3 2
20. 坐標平面上,已知相異的三點共線,且,其中 O 為原點。請問 R 點的 x 坐標為下列哪一個選項? (A) (B) 7 (C) (D) 8