所屬科目:四技二專統測◆數學B
1. 設實數的整數部分為 a ,小數部分為 b 。若 p 為有理數且 b 為方程式 之一根,則 p = ? (A)3(B)(C)6(D)
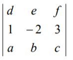
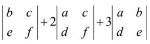
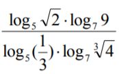
2. 下列行列式之值何者與 之值相等? (A) (B)(C) (D)
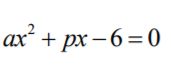
3. 已知 a ≠ 2 ,若方程式 之二根差的平方與方程式 之二根差的 平方相等,則 a = ? (A) - 6(B)4 (C) - 2 (D) -1
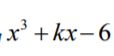
4. 已知 (x -3) 為之因式,則下列何者為 之因式分解?
(A) (x -3)(x - 2)(x -1) (B) (x -3)(x - 2)(x +1) (C) (x -3)(x + 2)(x -1) (D) (x -3)(x + 2)(x +1)
5. 設 a,b,k 為常數。若對每一實數 x 皆滿足, 則 k = ? (A) -5 (B) -3 (C) 3 (D) 5
6. 設 x, y,z 皆為正實數,且 xy + yz + zx = 27 ,則 xyz 之最大值為何? (A)(B)18(C)27 (D)
7. 設 ,求 ?(A)6(B)18(C)9(D)12
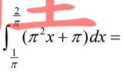
8. 求定積分 ? (A) (B) (C)(D)
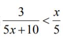
9. 不等式 的解為下列何者? (A) x < -2 或 x >1 (B) x < -2 或 x > 3 (C) x < -3 或 x >1 (D) -3< x < -2 或 x >1
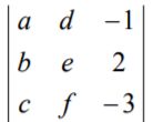
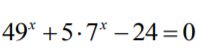
10. 求 ? (A) (B) (C) (D)
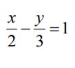
11. 設方程式 ,則? (A) 10 (B) 14 (C) 21 (D) 28
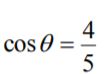
12. 已知平面上三點 A(5, 0) , B(1, -12) 及 C(-4 , -7) ,若 D(x , y) 為線段 上一點且線段 垂直於 ,則 x + y = ? (A) - 4 (B) -5 (C) - 6 (D) - 7
13. 已知某銳角 θ 滿足 ,求 tan2θ = ? (A) (B) (C) (D)
14. 已知 ,則 ? (A) (B) (C) (D)
15. 設平面上三點 A(x , y), B(-1, 4) 及 C(9 , -1) 。若向量,則 D 點坐標 為何? (A) (1, 5) (B) (3, 2) (C) (5,1) (D) (2 , 3)
16. 已知循環小數 0.= 0.9999...... ,令 a = 0.✖0.9 ,則下列何者正確? (A) (B) (C) a < 0.9 (D) a > 0.9
17. 設向量 與 之夾角為 60° ,且 ,則向量 和 之夾角為何? (A) 30° (B) 60° (C) 90° (D) 120°
18. 設 x ≥ -1 且 y ≥ -2 ,求共有幾組整數解 (x , y) 滿足方程式 x + y = 2014 ?(A)2018(B)20 19 (C) 2020 (D) 2021
19. 求正整數 的所有正因數中,8的倍數有幾個? (A) 576 (B) 288 (C) 144 (D) 96
20. 設 A 及 B 為樣本空間 S 中的兩事件,已知 及。若 ,求 事件 A 發生或事件 B 發生的機率為何? (A)(B)(C) (D)
21. 同時投擲一粒公正骰子與兩枚均勻硬幣,若兩硬幣均出現正面,則給骰子出現點數的 兩倍金額;若兩硬幣出現一正一反,則給骰子出現點數的金額;若兩硬幣均出現反面, 則不給錢,求每次投擲所得金額之期望值? (A) 2 (B) (C) 3 (D)
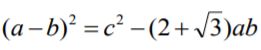
23. 已知△ABC 三邊長 a,b,c 滿足,若 ∠C 為邊長 c 所對應的角,則 ∠C = ? (A) 30° (B) 60° (C) 150° (D) 120°
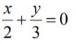
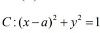
24. 已知平面上有一圓 與直線 L : y = x 相交於兩點,則 a 可能為下列何者? (A) a = -2 (B) a =1 (C) a = 2 (D) a = 3
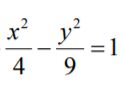
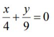
25. 已知平面上有一雙曲線方程式為 ,下列何者為其漸近線? (A)(B) (C) (D)