所屬科目:四技二專統測◆數學B
3.已知為一數列且=2n+3,求=? (A)8 (B)16 (C)24 (D)45
5.直角三角形△ABC中,若∠C為直角,=41且=40,則下列敘述何者正確? (A)sinA= (B)cosA= (C)sinB= (D)cosB=
7.已知指數函數f(x)=,則下列何者正確? (A)f(6)=f(2)+f(3) (B)f(-1)<0 (C)f(x)的圖形通過第一象限與第四象限 (D)當x值愈小時,f(x)的值愈接近0
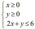
8.坐標平面上,滿足聯立不等式的所有(x,y) 所成的區域之面積為多少平方單位? (A)3 (B)6 (C)9 (D)12
9.已知P(–2,3),Q(a,b)為直角坐標平面上兩相異點。若R(0,–1)是的中點,則直線ax+by=10的x截距為何? (A)5 (B)2 (C)–2 (D)–5
10.一元二次不等式x2-2x-5>0的解為何? (A) (B) (C)x<-1或x>5 (D)-1<x<5
11.已知點P的坐標為,則點P在第幾象限? (A)第一象限 (B)第二象限 (C)第三象限 (D)第四象限
14.解一元二次方程式=0,可得x=? (A)(B)0或4 (C)(D)2或5
15.直角坐標平面上,已知A(–1,2),B(3,5)二點,若向量與向量同方向且長度為1,則下列何者正確? (A)(B)(C)(D)
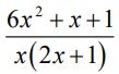
16.化簡,可得下列何者? (A)(B)(C)(D)
17.已知為一等比數列,且a1+a3=及a2+a4= ,求a5=? (A)(B)(C)(D)
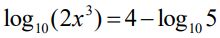
18.解對數方程式,可得x=? (A)5 (B)10 (C)15 (D)50
20.同時投擲2顆公正骰子一次,令A為點數和為5的事件,B為至少有1顆骰子點數為2的事件,則機率=? (A)(B)(C)(D)