所屬科目:身心障礙升大專-數甲
1. 請問在坐標平面上,二次函數的圖形與直線 有多少 個交點? (A) 沒有交點 (B) 恰有一個交點 (C) 有位在同一象限的兩個交點 (D) 有位在不同象限的兩個交點
2. 設 a 為正整數。已知滿足 的整數 x 共有 341 個,請問滿足 的整數 x 共有多少個? (A) 340 (B) 341 (C) 342 (D) 343
3. 已知兩平面向量的夾角為 ,且,。請問下列哪一個向量 的長度最大? (A) (B) (C) (D)
4. 甲、乙、丙三個不透明箱子內各有兩顆球。甲箱兩顆球的編號分別為 2 號、 3 號;乙箱兩顆球的編號分別為 1 號、 3 號;丙箱兩顆球的編號分別為 1 號、 2 號。已知任一箱中,每顆球被抽到的機率都相等。請問從每個箱子各抽取一 顆球,所取出的三顆球號碼皆相異的機率為下列哪一個選項? (A) (B) (C) (D)
5. 投擲一枚特製銅板,出現正面的機率為 ,出現反面的機率為 。如果投擲 此銅板五次,請問下列哪一個選項發生的機率最小? (A) 全部出現反面 (B) 恰出現一次正面 (C) 恰出現兩次正面 (D) 恰出現三次正面
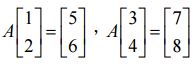
6. 設 A 為一矩陣。已知,請問等於下列哪一個選項?(A)(B)(C)(D)
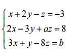
7. 設 a b, 為實數。已知三元一次聯立方程組 有無窮多組解,請 問 a +b 的值是下列哪一個選項? (A)-8 (B) -4 (C) 0 (D) 3
9. 設實係數多項式 f( x ) 除以 x+1 的商式為 g(x) 。已知,請問 f( x ) 除以 的餘式為下列哪一個選項? (A) (B) (C) (D) 1
10. 坐標平面上,圓 Γ 與直線 L1 交於(-4, -4),(-6,-5)兩點,且與直線 L2 交於 (4, 4),(5,6) 兩點。請問 Γ 的圓心位在哪一個象限? (A) 第一象限 (B) 第二象限 (C) 第三象限 (D) 第四象限
12. 不透明箱中只有藍球與綠球,且每種顏色的球都至少 1 顆。從箱中隨機抽取 1 顆球(每顆球被抽中的機率都相等),設抽出藍球顆數的期望值為 E 。若箱 中再多放進 2 顆綠球,同樣隨機抽取 1 顆球,則此時抽出藍球顆數的期望值 變成 E 。請問一開始箱中共有多少顆球? (A) 10 顆 (B) 11 顆 (C) 20 顆 (D) 條件不足,無法確定
13. 下列各選項取以 10 為底的對數後,哪一個的對數值會介於-12 和-13 之間? (A) (B) (C) (D)
14. 已知三角形 PQR 滿足 = 6, = 3 ,且知 2 tanQ = tanR 。請問 為下列哪一個選項? (A)(B) (C) (D)
15. 設 a b, 為正整數,且滿足 a> b > 1 ,請選出正確的選項。 (A) (B) (C) (D)
16. 三角形 PQR 中,下列關於的關係,哪一個選項的條件可以確定 tan P 是 三個數值當中的最小值? (A) (B) (C) (D)
17. 設 三角形 PQR 中 對邊的長度分別為 p , q , r。已知 r = 7 且 ,請問 cosR 的最小可能值為下列哪一個選項? (A) -0.1 (B) 0 (C) 0.02 (D) 0.1
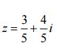
18. 設,其中 ,且令 P Q R , , 分別代表複數平面上 所對應的 點。請選出 PQR 的正確範圍。 (A) (B) (C) (D)
20. 坐標平面上,一正方形通過四點,且 Q ,R 兩點 在此正方形的同一個邊上。請問此正方形的邊長為下列哪一個選項? (A) (B) (C) (D) 5