所屬科目:北水◆基本電學、電機機械
1.某台 5HP 之直流電動機,其滿載電流為 20 安培,電源電壓為 200 伏特,則其滿載之效率應為多少?(A)93.25% (B)90.25% (C)87.25% (D)84.25%
2.設有兩帶電小球體在空氣中相隔 3 公分,若兩球間之斥力為牛頓,而其中一小球帶有正電荷 庫侖,則另一小球荷電多少庫侖? (A) (B) (C) (D)
3.某一系統的能量轉換效率為 80%,若損失功率是 400 瓦特,則該系統的輸出功率是多少瓦特? (A)3200W (B)2000W (C)1600W (D)500W
4.若以奈米為長度計算單位,則 18 公分為多少奈米?(A)18k (B)18M (C)0.18G (D)1.8G
5.如下圖所示電阻器 1 為紅色、2 為綠色、3 為橙色、4 為金色,則電阻為
(A)2.5 × 103 ±10%歐 姆 (B)2.5 × 104 ±5%歐姆 (C)5.2 × 104 ±5%歐姆 (D)以上皆非
6.銅在 0°C 時,電阻之溫度係數為 0.00427,若一銅線電阻在 50°C 時為 36.4 歐姆,則其在 0°C 時之電阻為 (A)24.0 歐姆 (B)39.4 歐姆 (C)43.2 歐姆 (D)30 歐姆
7.如下圖所示電路,求E3= ?
(A)40V (B)50V (C)100V (D)120V
8.如下圖所示電路,電流表之讀數為
(A)60mA (B)12mA (C)180mA (D)22mA
9.如下圖所示電路,則電流 I2 為多少?
(A)6A (B)8A (C)10A (D)12A
10.如下圖所示電路,將 Δ 電路換成等效的 Y 電路,求 R1 =?
(A)30Ω (B)40Ω (C)10Ω (D)5Ω
11.如下圖所示電路,V1 為若干?
(A)2V (B)3V (C)4V (D)–4V
12.如下圖所示電路之等效電路中,I 之值為
(A)4 安培 (B)1.2 安培 (C)–4 安培 (D)3 安培
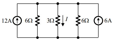
13.如下圖所示電路,求流經 3Ω 電阻的電流 I 為多少?
(A)4A (B)8A (C)9A (D)18A
14.如下圖所示電路,可變電阻器調整範圍是 30kΩ 到 60kΩ ,當可變電阻調整到跨於兩端的功率為最大值時,電流 I 等於多少?
(A)1mA (B)0.5mA (C)1.25mA (D)2.5mA
15.4 μF 電容器,若以 2mA 之穩定電流充電 10 秒,則所儲存之能量為_________ J。(A)25 (B)37.5 (C)50 (D)75
16.如下圖所示電路 a、b 間之等值電容量為_________μF 。
(A)4 (B)15 (C)26 (D)70
17.如下圖所示電路,試求 a、b 兩端之總電容量等於_________μF 。
(A)12 (B)30(C)12 (D)6
18.關於電力線敘述,下列何者為誤? (A)電力線為一封閉曲線,且不相交(B)電力線進入或離開 電荷時,必垂直電荷表面 (C)電力線由正電荷出發,終止於負電荷 (D)電力線之切線方向即為 該處之電場方向。
19.每平行板間之電容為 6F,如下圖(16)接線總電容=
(A)1.2 (B)12 (C)24 (D)30 F。
20.有一導體在均勻磁場中運動,其有效長度為 200 公分,速度為 5 公分/秒,若感應電勢為 1V, 則此均勻磁場的磁通密度 B 為_________韋伯/平方公尺。(A)10 (B)5 (C)0.1 (D)0.01
21.如下圖所示,當開關 S 切入一段時間後,在打開之瞬間,AB 線圈所感應之電位關係是
(A)A 端電位高於 B 端 (B)B 端電位高於 A 端 (C)A、B 兩端電位相等 (D)電位之高低無法確定。
22.有一線圈,其匝數為 300 匝,若通過線圈的磁通在 0.1 秒內由 0.4 韋伯降至 0.1 韋伯,則此線 圈兩端之感應電勢為多少 V?
(A)300 (B)600 (C)900 (D)60 V。
23.如下圖所示,其總電感量為若干 H?
(A)7(B) 10(C)12 (D)36H。
24.一 20mH 電感兩端電壓為 10 √2 sin100t 伏特,則流經此電感器之電流有效值為 (A) 5A (B) 10A (C) 5√2A (D) 10√ 2A 。
25.有關 R-L-C 串聯諧振電路,下列敘述何者是錯誤的? (A) 當電源頻率小於諧振頻率時,電路 呈電容性 (B) 當電感性阻抗等於電容性阻抗時,電路產生諧振(C) 品質因數 Q 值愈大,電路阻 抗對應於頻率之曲線愈尖銳(D) 當電源頻率等於諧振頻率時,其阻抗為無窮大。
26.直流發電機中決定導體感應電流、運動方向及磁場方向之間關係的是 (A)安培右手定則 (B) 佛來銘左手定則 (C)佛來銘右手定則 (D)楞次定律
27.電氣設備停電檢修時,應該優先切斷的電源 (A)直流側 (B)交直流兩側 (C)低壓側 (D)高 壓側
28.直流發電機中,轉速增大 2.5 倍,磁通密度減小為原來的 0.8 倍,則所產生之應電勢為原來的 幾倍? (A)6.25 (B)4 (C)3.125 (D)2
29.在電刷中,下列哪項材料成分具有潤滑作用 (A)碳 (B)銅粉 (C)石墨 (D)鐵
30.交流同步電動機若調整其轉子激磁為過激磁,則 (A)馬達負載電流落後 (B)馬達轉速變快 (C)馬達負載電流超前 (D)馬達轉速變慢
31.直流電動機內反電動勢與電樞電流之乘積為該機 (A)由電功率轉換所得之機械功率 (B)損失 功率 (C)輸入功率 (D)對負載輸出之功率
32.測定發電機之外部特性時,下列何者應保持不變? (A)負載及端電壓 (B)轉速與激磁電流 (C)端電壓 (D)負載
33.有關電場與磁場之描述,下列何者錯誤? (A)單位磁極所受之作用力稱為磁場強度 (B)電力 線由正電荷出發,進入負電荷,再由負電荷回到正電荷,形成一閉合環路 (C)電場與磁場同屬 於超距力 (D)磁力線愈密,則磁場強度愈強
34.一導體長 20cm 置於 0.7(Wb/m2)之均勻磁場中並通以 15 安培( A )之電流,當導體與磁場垂直時, 導體受力為多少? (Wb=韋伯) (A)2.1 牛頓(N) (B)3.1 牛頓(N) (C)21000 達因(dyne)(D)2100000 達因(dyne)
35.一導體長 20cm 置於 0.7(Wb/m2)之均勻磁場中並通以 15 安培( A )之電流,當導體與磁場平行時, 導體受力為多少? (Wb=韋伯) (A)2.1 牛頓(N) (B)0 (C)21000 達因(dyne) (D)148000 達因(dyne)
36.如下圖所示,導體 A 通以圖示方向之電流,則導體受力之方向為
(A)左 (B) 下 (C)上 (D) 右
37.電場強度之定義為 (A)二電荷間所受之力 (B) 二點間之電位差 (C)單位電荷所受之力 (D) 單位電荷的能量
38.下圖為什麼符號?
(A)變壓器 (B)繼電器 (C)開關 (D)電感器
39.下列何者不是影響交流感應馬達在緊急切斷電源時過轉量大小的主要因素? (A)馬達轉速(B)轉動慣量 (C)煞車力量 (D)使用電壓
40.三相感應電動機之定子旋轉磁場,其轉速為何? (A)1,800rpm (B)3,600rpm (C)同步轉速(D)900rpm
41.在直流電機中,電刷的作用為 (A)與換向片接觸以引導電流 (B)潤滑轉子軸承 (C)導磁 (D)增加絕緣耐力
42.設一匝數為 1 之線圈置於Web 之磁場中,若在 0.1 秒內其值降為零,則其感應電動勢為若干? (A)0.3(V) (B)0.15(V) (C)0.6(V) (D)0.9(V)
43.三相感應電動機 Y-△切換裝置,其目的為 (A)改變轉向 (B)增加起動電流 (C)降低起動電 流 (D)降低運轉電流
44.於均勻磁場中割切磁力線之一線圈,若磁通量呈直線增加時,請問該線圈兩端之感應電勢將作 何 變化? (A)大小不變 (B)隨著磁通量而直線增加 (C)隨著磁通量增加而減小 (D)不感應 電勢
45.變壓器開路試驗的目的,下列敘述何者正確 (A)測定鐵損 (B)測定負載損 (C)測定銅損 (D) 計算電抗
46.下列有關變壓器絕緣油應該具備的條件,何者錯誤? (A)凝固點高 (B)引火點高 (C)絕緣耐 力強 (D)粘度低
47.有關變壓器的損失,下列敘述何者正確? (A)負載損與外加電壓平方成正比 (B)鐵損可分為 磁滯損與渦流損 (C)渦流損與負載電流平方成正比 (D)銅損與負載電流平方成反比
48.若理想變壓器的一次側的繞線匝數為 N1,而二次側的繞線匝數為 N2,則其一次側的電流 i1與 二次側的電流 i2 的關係為 (A)1 (B)N1/N2 (C)N2/N1 (D)N2*N1
49.變壓器分接頭主要用途是? (A)調整線圈電流 (B)調整功因 (C)調整效率 (D)調整電壓
50.感應電動機之速率控制,下列敘述何者不正確? (A)改變極數,是屬於改變轉矩轉差率曲線 的控速方法 (B)採兩機串級控速,必須至少有一部電機為繞線式 (C)變極控速僅適用於鼠籠式 轉子 (D)變頻器控速,調速範圍極廣,屬於定轉矩控速