所屬科目:北水◆基本電學、電機機械
1.某一系統的能量轉換效率為 80%,若損失功率是 400 瓦特,則該系統的輸出功率是多少瓦特? (A)3200W (B)2000W (C)1600W (D)500W
2.銅在 0°C 時,電阻之溫度係數為 0.00427,若一銅線電阻在 50°C 時為 36.4 歐姆,則其在 0°C 時之電阻為 (A)24.0 歐姆 (B)39.4 歐姆 (C)43.2 歐姆 (D)30 歐姆
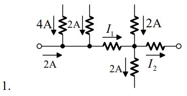
3.如下圖所示電路,則電流 I2 為多少?
(A)6A (B)8A (C)10A (D)12A
4.如下圖所示電路之等效電路中,I 之值為
(A)4 安培 (B)1.2 安培 (C)–4 安培 (D)3 安培
5.4μF電容器,若以2mA之穩定電流充電 10 秒,則所儲存之能量為 (A)25 (B)37.5 (C)50 (D)75 J。
6.如下圖所示電路,試求 a、b 兩端之總電容量等於
(A)12 (B)30(C)12 (D)6 F 。
7.有一導體在均勻磁場中運動,其有效長度為 200 公分,速度為 5 公分/秒,若感應電勢為 1V, 則此均勻磁場的磁通密度 B 為_________韋伯/平方公尺。(A)10 (B)5 (C)0.1 (D)0.01
8.如下圖所示,其總電感量為若干 H?
(A)7(B) 10(C)12 (D)36H。
9.試計算圖電路中當開關 t 關閉後,電路充電時間常數 為多少?
(A) (B) (C) (D)
10.下圖所示之電路,求穩態時之
(A) 安培 (B) 安培 (C) 安培 (D) 安培
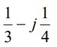
11.如下圖所示,若電路工作在諧振頻率上,則下列敘述何者有誤?
(A)諧振頻率約為8Hz (B) 等效阻抗為50kΩ (C) PF=1 (D) 品質因數為200。
12.某工廠平均每小時耗電 24kW,功率因數為 0.6 滯後,欲將功率因數提高至 0.8 滯後,求應加 入並聯電容器的無效功率為多少?(A) 5kvar (B) 14kvar (C) 19kvar (D) 24kvar。
13. =10∠0°,=10∠120°, =10∠-120° ,求=? (A) 0 (B) 30 (C) 20∠60° (D) 20∠-60°。
14.如下圖所示,求 ab 兩端戴維寧等效阻抗 = ?
(A) 6- j8 (B) 6+ j8 (C) 6+ j12 (D) 6+ j12。
15.串聯 R、L、C 電路中,R=2Ω,L=2mH, ,此電路之諧振頻率與品質因數分別是多少? (A) (B) (C) (D)
16.如下圖所示,若電路工作在諧振頻率上,則下列敘述何者有誤?
(A)諧振頻率約為 4Hz (B)等效阻抗為 50kΩ (C)功率因數為 1 (D)品質因數為 250
17.下圖為 R-L-C 串聯電路,在諧振時電感器的端電壓為
(A)10 伏特 (B)20 伏特 (C)100 伏特 (D)200 伏特
18.如下圖所示,R-L-C 並聯諧振電路,試求此電路的上限截止頻率與下限截止頻率各為
(A)854kHz 與 812kHz (B)875kHz 與 791kHz (C)896kHz 與 770kHz (D)916kHz 與 750kHz
19.RLC 並聯諧振電路,在電路諧振時,下列敘述何者錯誤?(A)電感電流與電容電流相位差180° (B) 諧振頻率為 (C)功率因數=1 (D)電路阻抗最小
20.如下圖所示,= ? _________S。
(A) 3- j4 (B) 3+ j4 (C) (D)
21.R - L -C 串聯電路,已知Q = 20, =200Hz r f ,上下半功頻率各為 (A) 205,195 (B) 210,190 (C) 300,100 (D) 200,100 Hz。
22.工廠中之電動機並聯電容器,其目的為何?(A)增加電動機容量 (B)增加電動機轉速(C)增加電 動機轉矩 (D)減少線路電流
23.加在某單相電路上之電壓為v=100cos(ωt-30°)伏特,通過之電流為i=10sin ωt安培,電源供應器之平均功率為 (A)110W (B)250W (C)500W (D)1000W
24.一正弦交流電壓V為110伏特,則此正弦波形之峰對峰值為(A)110伏特 (B)110√2 伏特 (C) 220√2伏特 (D)220 伏特
25.有一交流電流為i(t)=141.4 sin 377t安培,試問下列何者錯誤?(A)電流最大值為 141.4A (B) 電流有效值為 100A (C)此電流之頻率為 50Hz (D)此電流之相位角為0°
26.在直流電機中,電刷的作用為 (A)與換向片接觸以引導電流 (B)潤滑轉子軸承 (C)導 磁 (D)增加絕緣耐力
27.設一匝數為 1 之線圈置於 Web 之磁場中,若在 0.1 秒內其值降為零,則其感應電動勢 為若干? (A)0.3(V) (B)0.15(V) (C)0.6(V) (D)0.9(V)
28.三相感應電動機 Y-△切換裝置,其目的為 (A)改變轉向 (B)增加起動電流 (C)降低起動電 流 (D)降低運轉電流
29.於均勻磁場中割切磁力線之一線圈,若磁通量呈直線增加時,請問該線圈兩端之感應電勢將作 何 變化? (A)大小不變 (B)隨著磁通量而直線增加 (C)隨著磁通量增加而減小 (D)不感應 電勢
30.變壓器開路試驗的目的,下列敘述何者正確 (A)測定鐵損 (B)測定負載損 (C)測定銅損 (D) 計算電抗
31.下列有關變壓器絕緣油應該具備的條件,何者錯誤? (A)凝固點高 (B)引火點高 (C)絕緣耐力強 (D)粘度低
32.有關變壓器的損失,下列敘述何者正確? (A)負載損與外加電壓平方成正比 (B)鐵損可分為 磁滯損與渦流損 (C)渦流損與負載電流平方成正比 (D)銅損與負載電流平方成反比
33.若理想變壓器的一次側的繞線匝數為 N1,而二次側的繞線匝數為 N2,則其一次側的電流 i1與 二次側的電流 i2 的關係為 (A)1 (B)N1/N2 (C)N2/N1 (D)N2*N1
34.變壓器分接頭主要用途是? (A)調整線圈電流 (B)調整功因 (C)調整效率 (D)調整電壓
35.感應電動機之速率控制,下列敘述何者不正確? (A)改變極數,是屬於改變轉矩轉差率曲線 的控速方法 (B)採兩機串級控速,必須至少有一部電機為繞線式 (C)變極控速僅適用於鼠籠式 轉子 (D)變頻器控速,調速範圍極廣,屬於定轉矩控速
36.三相繞線式感應電動機轉子可經三個滑環引出三條導線接到 (A)起動電阻器 (B)電源 (C) 變壓器 (D)電磁開關
37.交流感應電動機的直流制動原理,是將直流電流通入感應電動機的定子,使定子產生 (A)反 轉磁場 (B)固定磁場 (C)感應磁場 (D)交變磁場
38.三相感應電動機之理想運動特性? (A)啟動轉矩大,啟動電流小 (B)啟動轉矩小,啟動電流 大 (C)啟動轉矩大,啟動電流大 (D)啟動轉矩小,啟動電流小
39.有一電器每天使用 5 小時,若 30 日的電費為 120 元,電費每度 2.5 元,則此電器的消耗功率 為多少? (A)120W (B)220W (C)320W (D)420W
40.一個 60 瓦(W)之燈泡每天使用 10 小時,30 天總共用電幾度? (A)4.5 (B)9 (C)18 (D)36
41.下列敘述何者錯誤? (A)同步發電機之轉子速率與定子繞組所生旋轉磁場同步 (B)感應機轉子速率一定遠高於定子的旋轉磁場速率 (C)同步機的轉差率 S 約等於 0 (D)一般而言,迴轉磁 場型同步發電機的電樞為靜止
42.有三相 6 極、5 馬力(hp)、60 赫茲(Hz)之感應電動機,已知其滿載轉子銅損為 120W,無載旋 轉損為 150W,請問該電動機滿載時,其轉子速度為多少 ? (A)1200rpm (B)1190rpm (C)1164rpm (D)1305rpm
43.一導線貫穿 100 匝之線圈,該導線之磁通量為韋伯。若在 0.1 秒內此磁通均勻下降為 零,則此線圈之感應電動勢為多少伏特(V)? (A)30V (B)15V (C)45V (D)7.5V
44.電工機械運行時,我們會希望功率因數能夠改善,這主要是為了: (A)減少銅損 (B)減少雜 散損 (C)減少渦流損 (D)減少銅損
45.有位朋友送來一個馬達請你修理,你拆開後發現內有一離心開關,起動線圈很細而且其匝數比 主線圈少過一半,所以你判定這單相感應馬達是: (A)分相起動式 (B)電容器起動式 (C)蔽極 式 (D)推斥起動式
46.若一理想變壓器之匝數比為 100:1;原線圈之電壓為 2.2kV,求副線圈之電壓為多少伏特(V)? (A)11V (B)22V (C)33V (D)5.5V
47.變壓器輸出側欲升高電壓,則用次級線圈圈數較初級線圈圈數為? (A)相等 (B)少 (C)多 (D)無關
48.馬達連接連軸器驅動導螺桿及平台負荷時,其安裝之偏心度應較連軸器允許範圍為何? (A)較 大 (B)較小 (C)剛好在最大範圍 (D)無關
49.在直流電機中,電刷的作用為: (A)導磁 (B)增加絕緣耐力 (C)潤滑轉子軸承 (D)與換向 片接觸以引導電流
50.下列何者不是改善直流電機「電樞反應」的方法? (A)使用補償繞組 (B)使用半導體整流器 (C)使用中間極 (D)適當的移動電刷位置