所屬科目:國營事業◆自動控制
(一)依據動力學列出此系統之動態微分方程式,並導出推拉力F(s)與拖車位移輸出Y2(s) 間之轉移函數。
(二)若此系統中之參數值大小為:=2,=4,=4,M1=1,M2=2,試依據 x1(t)=y1(t)-y2(t),x2(t)=dy1(t)/dt 及 x3(t)=dy2(t)/dt 之狀態變數定義,寫出此系統 之三階狀態方程式。
(一)試以 k=1 之數值繪出此系統之奈氏圖(Nyquist diagram)。
(二)由奈氏圖之奈氏穩定準則(Nyquist stability criterion)計算出可維持此系統穩定之 k 值範圍,以及 k 為臨界穩定值時,此系統之臨界穩定振盪頻率。
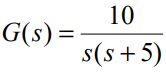
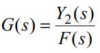
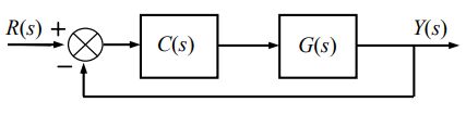
三、某一系統之開迴路轉移函數為,試設計一個串聯之比例微分(PD)控制 器 C(s),如下圖所示,以達成速度誤差常數(velocity error constant)=20,且系統 阻尼比(damping ratio)為 0.5 之閉迴路系統動態響應特性,求之值。
(一)試由此近似波德圖之轉折點,找出系統之極點與零點,配合相關說明以寫出其開迴路轉移函數 。
(二)如設計需求為 45°之相位邊界(phase margin),須如何調整增益值 k?並由此波德圖求出系統可維持穩定之 k 值範圍。