阿摩線上測驗 登入

申論題資訊

試卷:106年 - 106 鐵路特種考試_高員三級_機械工程:自動控制#62447
科目:國營事業◆自動控制
年份:106年
排序:0

題組內容

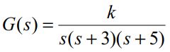
二、某單一負迴授(unit negative feedback)系統的開迴路轉換函數為

申論題內容

(二)由奈氏圖之奈氏穩定準則(Nyquist stability criterion)計算出可維持此系統穩定之 k 值範圍,以及 k 為臨界穩定值時,此系統之臨界穩定振盪頻率。