所屬科目:研究所、轉學考(插大)◆工程數學
1.[10%] 多選題:Whichofthe following IVP has a nque solution? (A)(y-1)=6x,y(0)=1 (B)(y2+1)=x2,(3)=1 (C)y'=x,y(0)=1 (D) x2y"-4xy'+4y=0,y(3)=1,y'(3)=-1 (E) 3y"-4y'+1=ex,y(1)=0,y'(1)=1
2.[10%]是非題: (1) In any vector space,.(A)O(B)X
(2) If V is a vector space other than the zero vector space, V contains a subspace W such that W≠V.(A)O(B)X
(5) The span of an empty set Φ is also Φ.(A)O(B)X
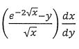
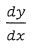
3. [15%]Solve the IVP:=1,y(1)=1
4. [10%]Solve the ODE: (3x + 2)2y" + 4(3x + 2)y'-6y =
5. ([15%]Solve the IVP: y" + 9y = ucos(3t); y(0) = 0;y'(0) = 1; U(t) is a unit step function.
6. [10%] Solve the equation: X2 - 3X + 4I =