所屬科目:北水◆土木工程
1.一簡支梁承受梯形分佈載重如【圖 1】所示,點 a 之支承反力最接近下列何者? (A) 6 kN(B)2 kN (C) 18 kN (D) 24 kN
2.如【圖 2】所示,兩段式直角拐肘懸臂梁,各段之撓曲剛度為 EI,各段之長度為 L,若在自由端(點 c)施加 一平面內垂直集中力 P,則受力點 c 之水平位移為何? (A) 0(B)PL3 /(2EI) (C) PL2 /(3EI) (D) PL3 /(3EI)
3.如【圖 3】所示,施加一垂直力 P 於 Z-形簡支剛構之點 c,不計構架自重,下列敘述何者正確? (A)點 b 之支承反力為零 (B)點 a 之支承反力為零 (C)點 b 之支承反力為 P/2 (D)點 a 之支承反力為 P/2
4.如【圖 4】所示,梯子以與地面θ的角度斜靠牆邊,其重量為 W,可視為均勻分佈,重心在中央處,各接觸點 的靜摩擦係數為μ,請問角度θ至少需要多大,才不會讓梯子滑落? (A) θ>tan-1 [(2+μ 2 )/μ] (B) θ>tan-1 [(1+μ 2 )/(2μ)] (C) θ>tan-1 [(2-μ 2 )/μ] (D) θ>tan-1 [(1-μ 2 )/(2μ)]
5.如【圖 5】所示,三段繩索懸掛兩重物如圖,已知其中一重物為 36 公斤,另一重物之重量 W 最接近下列何者? (A) W=12 kgw (B) W=14 kgw(C)W=16 kgw (D) W=18 kgw
6.兩根一樣的梁疊架起來,邊界約束如【圖 6】所示,其長度皆為 L,撓曲剛度為 EI,在上梁點 b 承受一彎矩 M, 上梁點 b 以一滾支承座落於下梁之跨中央,請求此點 b 的垂直位移為何? (A) ML2 /(34EI) (B) ML2 /(48EI) (C) ML3 /(34EI) (D) ML3 /(48EI)
7.有一桁架受力如【圖 7】所示,請問下列桿件節點應力何者錯誤?(sin60°=0.866;cos60°=0.5) (A)桿件 AB 應力= 1154.7N (B) C 點水平應力= 577N (C) C 點垂直應力= 1000N (D)桿件 AB 應力= 1000N
8.有一簡支梁受力如【圖 8】所示,下列敘述何者為錯誤? (A) A 點應力為 460N (B) B 點應力為 340N (C)剪應力距 A 點 4.6m 處為 0 (D)最大彎矩為 1000N∙m
9.有一組合面積圖形如【圖 9】所示,下列敘述何者錯誤? (A)慣性矩 Ix = 184mm4 (B)慣性矩 Iy = 112mm4 (C)截面係數 Zy = 37.33mm3 (D)迴轉半徑 Ky = 4.16mm
21.已知 A 點之平面座標(XA, YA)及其標準差為(150 m±0.00 m, 150 m±0.00 m),AB 之方位角ΦAB 及其標準差為 45°0'00"±40",AB 之距離 及其標準差為 100 m±0.00 m,請計算 B 點之橫座標之標準差為多少? (A) 0.007 公尺 (B) 0.014 公尺 (C) 0.028 公尺 (D) 0.045 公尺
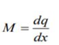
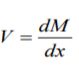
27.一梁之軸向座標為 x,均佈載重為 q,斷面剪力為 V,斷面彎矩為 M,則下列何者不屬於其間的關係(不考慮 方向符號)? (A) (B)(C) (D)
28.如【圖 28】所示之靜定外伸梁結構,其 A、B 支承的垂直反力絕對值為何? (A) RA = 12 kN;RB = 60 kN (B) RA = 18 kN;RB = 54 kN (C) RA = 24 kN;RB = 48 kN (D) RA = 36 kN;RB = 36 kN
29.續如【圖 28】所示之靜定梁結構,有關梁中剪力及彎矩之敘述,下列何者錯誤? (A)梁中剪力絕對值最大為 30 kN (B)距梁支承 A 點 1.5m 處之剪力值為 0 (C)梁中彎矩絕對值最大為 13.5 kN-m (D)梁中有 3 處彎矩值為 0
30.如【圖 30】所示之懸臂梁,撓曲剛度(flexural rigidity) EI 為常數。若只考慮撓曲變形,梁自由端 B 點垂直方向 的變位(deflection)是梁中央 C 點垂直方向變位的幾倍? (A) 2 倍 (B) 2.5 倍 (C) 3 倍 (D) 3.5 倍
31.請問【圖 31】之梁的靜不定度數為何? (A) 2 (B) 3 (C) 4 (D) 5
32.如【圖 32】所示之簡支梁,梁中何處之剪力絕對值為最小? (A)距支承 A 點 3m 處 (B)梁中央 C 點處 (C)距支承 A 點 5m 處 (D)距支承 A 點 6m 處
33.如【圖 33】所示之懸臂梁 AB,自由端 B 點承受一向上力 P,梁中央 C 點承受一向下力 kP,梁斷面之撓曲剛 度(flexural rigidity ) EI 為常數。若只考慮撓曲變形,則可使自由端 B 點處的傾角趨近為零之 k 值為多少? (A) k = 1 (B) k = 2 (C) k = 4 (D) k = 8
34.平面桁架如【圖 34】所示,已知 A 點為鉸支承,D 點為滾支承,請判斷此平面桁架零力桿件之數量為何? (A) 4 支 (B) 5 支 (C) 6 支 (D) 7 支
40.一矩形斷面單鋼筋混凝土梁,其斷面寬 30cm,有效深度 50cm,並使用 4-#18 拉力鋼筋(#8 鋼筋之斷面積為 5.10cm2)。若 ,鋼筋之彈性模數為 。依強度設計法,本梁 之設計應屬於下列何者? (A)有預警性破壞模式之設計 (B)無預警性破壞模式之設計 (C)平衡鋼筋設計 (D)壓力控制斷面
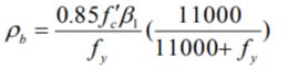
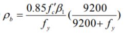
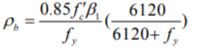
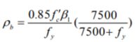
41.有一矩形單筋梁斷面,若鋼筋之彈性模數採用 2300000 kgf/cm2,混凝土之極限應變採用 0.004,則此單筋梁斷 面之平衡鋼筋比 ρb 為何? (A) (B) (C) (D)
43.假設有如【表 43】作業,請計算作業 D 的自由浮時多少天? (A) 0 天 (B) 10 天 (C) 20 天 (D) 30 天