所屬科目:迴歸分析
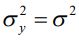
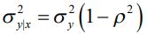
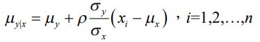
⑴在給定 X=xi 的情況下,Y之條件分配亦為常態分配,證明其均數為:變異數表達為,n為觀測值個數。
⑵若將上述的結果表達為解釋變數X及反應變數Y之簡單線性迴歸模型如下: εi為隨機誤差;亦即請將β0、β1及σ2重新以與ρ等符號表達之。
⑷證明。並說明在何種的狀況下。
⑸若 rXY 為變數X與Y之樣本相關係數,R2 為該迴歸模型之判定係數(coefficient of determination),證明。