所屬科目:迴歸分析
(一)在配適的簡單線性迴歸方程式下,請利用最小平方法計算參數 β0 和 β1 估計值 ( estimates )。 如果將模型改為 ,請寫出參數α和β1最小平方估計式(least- squares estimators)及其估計標準誤(standard errors)。
(二) 假設, 請在顯著水準 α= 0.05 下 , 檢定 。請試述檢定統計量之值、決策法則和結論。請寫出在應用最大概似估計(Maximum likelihood estimation)法, α2的估計值。 請寫出利用最小平方法, α2的估計值。
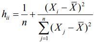
(三)表2第六欄是 (hat value) ,其公式為
請問 的值為何?請以此判斷是否有可能的高槓桿觀察值存在 ? 請說明判斷準則 。 表 2 的最後一欄 , 第八欄是 DFFITS (Difference in Fits)值。請以此判斷是否有可能的影響點(influential observation)存在?請說明判斷準則。