所屬科目:衍生性商品之風險管理
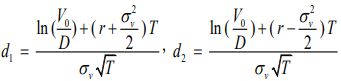
1. 在 Merton (1974)的模型中,利用公司股價來計算違約機率;期初公司股價為: 其中, V0 為期初公司資產價值,D 為期末應償還之公司債面額, N(.) 為標準常態累加機率密度函數, , r 為無風險利率, σ v2 為資產價值之波動度。 以下何者代表公司違約之風險中立機率? (A)N(d1) (B)N(-d1) (C)N(d2) (D)N(-d2)
24. Black-Scholes 的股票賣權公式: 欲以人工合成賣權的方式形成投資組合保險,應以何種方式操作?當股價下跌時應如何動態調整持 有部位?
(A)賣出佔投資組合 N (d1 ) 比率的股票,並投資無風險性資產;當股價下跌時,加碼賣出 (B)以無風險利率借錢,並買入佔投資組合N (d1 ) 比率的股票;當股價下跌時,加碼買進 (C)賣出佔投資組合 [1-N (d1)] 比率的股票,並投資無風險性資產;當股價下跌時,加碼賣出 (D)以無風險利率借錢,並買入佔投資組合 [1-N (d1)] 比率的股票;當股價下跌時,加碼買進
30. 兩資產之風險值各為 VaR1 及 VaR2,則包括這兩資產的投資組合之風險值最可能為下列何者? (A) = VaR1 + VaR2 (B) ≤ VaR1 + VaR2 (C) ≥VaR1 + VaR2 (D)無法判斷
二、申論題或計算題(共 3 題,每題 10 分,共 30 分)
1. 一金融機構的指數選擇權投資組合如下所列:
假設一可交易的選擇權其 delta 為 0.5,而 gamma 為 3.8,無風險利率為 2%。
試問,應持有多少部位的上述可交易的選擇權以及六個月期的指數期貨,才可使得該機構之投資組合同時達到 gamma 中立及 delta 中立?(10 分) e0.01=1.01, e-0.01= 0.99
2. 假設五年期債券,票面價格為$100,到期殖利率為 11% (連續複利),於每年底支付 8%利息。 試問就連續複利計算,此債券理論價格為何? 債券的存續期間為何? (10 分)