所屬科目:研究所、轉學考(插大)◆工程數學
1. (10%) Let A and B be 3 ✖3 matrices with det(A) = 5 and det(B) = -6. Find the value of: (a) (5%) det(2AB)
(b)(5%)
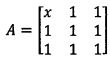
4. (10%) Consider the matrixwith parameter x. Specify all numbers x, if any, for which A is positive definite. Explain your answer.
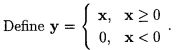
7.(8%) The random variable x is uniform in the interval [-5, 5]. Find C.D.F. Fy(y) and p.d.f. fy(y).
8.(10%) The joint p.df. of x and y
for some k. Deter-
mine the conditional p.d.f.