題組內容

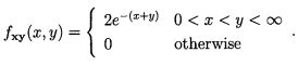
9.(16%) Let the joint p.d.f. of x and y be61cbc6d004693.jpg

. Define

z=x+y and w=y/x

(a)(8%) Determine the joint p.d.f. of z and w.