所屬科目:研究所、轉學考(插大)◆工程數學
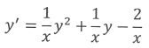
1. Solve the following differential equation.(15%)
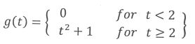
4. Determine the Laplace transform of(15%)
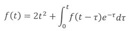
5. Solve the following integral equation by Laplace transform. (15%)
6. Solve the initial value problem by Laplace transform. (20%) y"+2y'+2y=δ(t-3),y(0)=y'(0)=0 Note that δ(t -3) is Dirac delta function.