所屬科目:研究所、轉學考(插大)◆工程數學
(b) For α = 3,β = 2,γ = 2, ε =1, determine the type and stability of each critical point (10%)
2. Solve the non-homogeneo us ODE (10%)
3. Solve the non-homogeneous ODE (20%),
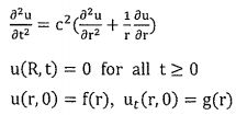
5. Solve the two-dimensional wave equation in polar coordinates. Using, the method of separation of variabies, determine solutions that are radially symmetric. (20%)