所屬科目:研究所、轉學考(插大)◆工程數學
(a) in which H is a Heaviside unit step function. (6%)
(b) (6%)
(C) in which δ is a Dirac delta function. (6%)
(d)(6%)
2. (10%) If f(x) =|x| -I ≤x ≤I, find and write out explicitly the beginning (or lower) four terms of its Fourier series.
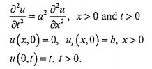
4. (16%) Use Laplace transform to solve the following partial differential equation of vibration:
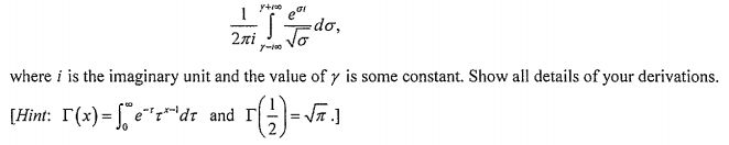
5. (15%) Evaluate the integral
6. (18%) Using the following relation, namely where A is the surface enclosing the volume △V, expand and explicitly write out ∇• B in spherical r-θ-Φ coordinates. Note that . Show all details to get full credit.