所屬科目:研究所、轉學考(插大)◆工程數學
1.若矩陣【計分:10分]
2.試求解y"+5y'+6y=u(t-1)+6(t-2),y(0)=0,y'(0)=1當中的u(t)為 unit step function,δ(t)為 unit impulse function【計分:10分】
4.試求解【計分:10分】
5.試求解微分方程式:,y'(0)=5並求出當中的 zero state response 與 zero input response[計分:10分]
6.已知f(x)=2πx-x2,0<x<2π,f(x+2π)=f(x)。 (1)試求f(x)的傅立葉級數(FourierSeries)【計分:6分】
(2)利用(1)题之結果,求解下列微分方程式之全解:【計分:9分】,初始條件:y(0)=1,y'(0)=0。
7.試求解下列的偏微分方程式:【計分:20分] <提示>利用變換法:u(x,y)=V(x,y)+w(x)。
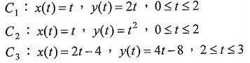
8.考虑下列在(0,0)舆(2,4)兩點之間三條曲線的參數表示式:若用s(t)代表曲線的弧長參數表示式,試證明: ,並解釋其原因。【計分:15分]