所屬科目:研究所、轉學考(插大)◆工程數學
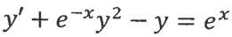
(1)(10%)
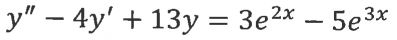
(2) (10%)
4. Determine the Fourier cosine transform and Fourier sine transform of the following function., if K is any positive number. (10%)
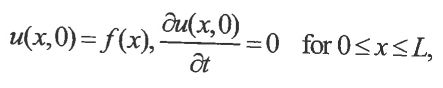
5. Solve the telegraph equation for 0 <x <L, t > 0. A and B are positive constants. The boundary conditions are u(0,t)=u(L,t)=0 for t ≥ 0, and the initial conditions are Assume that A2L2 <4(BL2+c2π2) (20%)
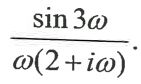
6. Use convolution to find the inverse Fourier transform of the function. (10%)
7. Evaluatewith γ as the circle |z| = 2 first by using the residue theorem and then by using the argument principle. (10%)