所屬科目:工程力學(包括材料力學)
一、如圖一所示,4 kN 的負載由四根 304 不銹鋼線支撐 (楊氏模數 E=193 GPa) , 鋼線連接在剛性的構件 AB 及 C D 上。試求負載作用後各構件(構件 AB 及 構件 CD)的傾斜角度。構件起始是水平且各鋼線的截面積為 30 mm 2 。
二、考慮一薄壁圓筒壓力容器槽,其內徑 r = 1 m,槽壁厚度 t = 0.1 m,壓力 容器槽內氣體壓力為 p = 10 MPa,據此請求出該容器槽內壁所承受的最 大剪應力的絕對值為何?
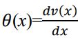
三、如圖二所示,當梁上之最大正彎矩值與最大負彎矩值相同時,試問a值為 何?已知梁之彈性模數 E 與斷面對中性面之慣性矩 I 均為常數。已知彎矩 M(x)與撓度(或稱側向位移)v (x)、斜度 θ(x)存在 M(x)=EI v"(x)、 。 並且以下表格中懸臂梁在距離自由端 x = a處受到集中荷重 P 的彈性位移曲線為已知,使用線性疊加原理求解。 (√2 = 1.41421)
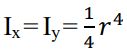
四、如圖三所示,有一桁架系統由桿件透過鉸接組合而成。已知所有桿件均為 A46 合金鋼所製作的圓桿,其降伏強度 250 MPa、彈性模數為 200 GPa, 桿件的截面積均為 0.03 m2,且該圓桿截面上的慣性矩 ,r 為截 面圓的半徑。又 AB、BC、AE、CD 桿件長度為 1 m,DE 桿件長度為 2 m。 已知兩端鉸接之桿件其挫屈(buckling)的臨界載重可以表達為 , 若同時考量挫屈及降伏均為失敗,請問此時桁架系統所受的水平力 P 最大可為多少?( π =3.14159、√2 = 1.41421)