所屬科目:自動控制學
(一)試比較其阻尼比(damping ratio),由小到大排列,並說明原因。(10 分)
(二)試比較其單位步階(unit step)響應之 2%安定時間(settling time), 由小到大排列,並說明原因。(10 分)
(三)圖一為其中一個系統之單位步階響應,試問是那一個?為什麼?(5 分)
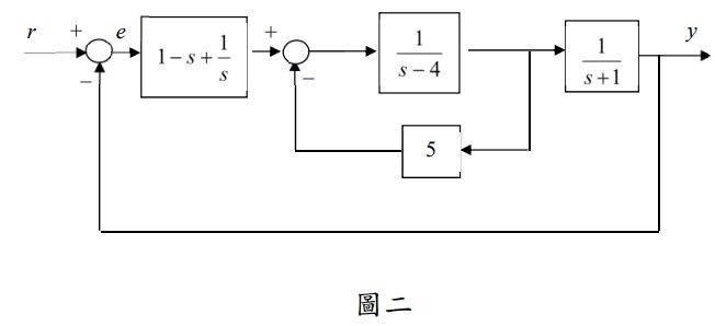
(一)試求從輸入 r 到輸出 y 的閉迴路轉移函數。(10 分)
(二)試證明此閉迴路系統為穩定(stable)。(5 分)
(三)若參考輸入為單頻調和訊號,即 r (t )= 3sin,試求其穩態輸出 y(t)。(10 分)
(一)若 K = 1,試估測此閉迴路系統(closed-loop system)之阻尼比。(10 分)
(二)若希望此閉迴路系統之阻尼比為 0.5,試求 K 之值。(10 分)
(三)若 K = 1,試求此閉迴路系統對單位等速輸入(unit ramp input)之穩態誤差。(5 分)
(一)試求此開迴路之轉移函數 G(s) 。(5 分)
(二)試在複數平面上畫出此閉迴路極點的範圍使系統滿足:超越量百分比 (percent overshoot)%OS<10%(亦即阻尼比 ξ>0.6 ),且 2%安定時間 (settling time)小於 8 秒。(20 分)