所屬科目:四技二專統測◆數學B
6. sin 750°+tan1500°? (A)(B)(C)(D)
7.已知五個數80,u,v,w,405成等差數列,則|w一ul=? (A)(B)90(C)150(D)
8.若x和,都是銳角,而,則sin(x+y)=? (A)(B)(C)(D)
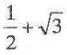
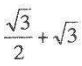
9.無窮等比級數的和為何? (A)(B)1(C)(D)3
10.若θ為一銳角,而且其正弦函數的值為0.2,則其餘切函數值為何? (A)(B)(C)(D)
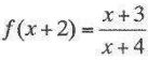
12.若,則? (A)(B)(C)(D)
15.運動會中,甲和乙兩人各只參加一項不同的比賽,兩人得金牌的機率分别為比賽結束後,甲和乙至少有一人得金牌的機率為何? (A)(B)(C)(D)
16.若函數f(x)=5x2+4x+1在x=a時有極小值b,則a+2b=? (A) (B)0 (C) (D) 1
17.若圓C:x2+6ax+y2=64 的面積為100π,則a可以是下列中的哪一個? (A) -2 (B) -1 (C) 1 (D) 4
19.一個袋子中有5顆色球、3顆白色球、2顆藍色球和1顆黄色球如果球的大小、重量都一樣,從袋中取出兩球,球的顏色相同的機率是多少? (A)(B)(C)(D)
22.若sinθ和cosθ為方程式18x2+24x+a=0的兩根,則a=? (A) 3 (B) 5 (C) 7 (D) 9
23.從集合中選取6個不同數字,其中至少有3個奇數的選法有幾種? (A) 74(B) 78 (C) 82 (D) 84
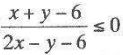
24.在座標平面上,不等式的解集合中满足O≤x≤6,0≤y≤2區域的面積為多少? (A) 3 (B) 5 (C)7(D) 9