所屬科目:高中指考◆數學乙
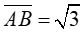
3. 假設是空間中三個向量,r是一個實數。已知且滿足,那麼r不可能等於下列哪一個數值: (A)(B)0(C)1(D)π(圓周率) (E)10100
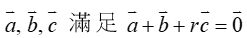
4. 嘌呤是構成人體基因的重要物質,它的化學結構式主要是由一個正五邊形與一個正六邊形構成(令它們的邊長均為)的平面圖形,如下圖所示: 試問以下哪些選項是正確的? (A)∠BAC=54°(B)O是△ABC的外接圓圓心 (C)(D)
6. 一個函數繪圖軟體的視窗預設的坐標平面之可視範圍為-15≤x≤15及-10≤y≤10,如下圖所示:
當我們把視窗的比例尺調整為原來的二分之一時,視窗的可視範圍變成-30≤x≤30及-20≤y≤20,如下圖所示:試問以下哪些選項是正確的?(A)如果把視窗的比例尺調整為原來的三分之一,那麼視窗的可視範圍變成-45≤x≤x及-30≤y≤30; (B)如果把視窗的比例尺調整為原來的二分之一,那麼坐標平面上任一直線的斜率也變成原來的二分之一; (C)使用預設的視窗時,只能看到y=x2-30x+190與y=5x-60這兩個圖形的一個交點; (D)如果把視窗的比例尺調整為原來的五分之一,就可以看到y=x2-30x+190與y=5x-60這兩個圖形所有的交點。
A. 一農夫想用66公尺長之竹籬圍成一長方形菜圃,並在其中一邊正中央留著寬2公尺的出入口,如下圖示。此農夫所能圍成的最大面積為__⑧⑨⑩__平方公尺。
B. 某機場基於飛航安全考量,限制機場附近建築物從機場中心地面到建築物頂樓的仰角不得超過8°。某建築公司打算在離機場中心3公里且地表高度和機場中心一樣高的地方蓋一棟平均每樓層高5公尺的大樓。在符合機場的限制 規定下,該大樓在地面以上最多可以蓋__⑪⑫__層樓。 〔參考數據:〕
C. 如下圖所示,某摩天輪等分為6個全等區域。為了夜間的燈光造景,個區域分別採用不同顏色的燈光裝飾。若有7種不同顏色的燈光可供使用,則此摩天輪正面的夜間燈光造景共有__⑬⑭⑮__種不同的顏色排列方式。
(1) 若雞場主人每天使用x公斤的第一種飼料與y公斤的第二種飼料就能符合營養師吩咐,則除了x≥0,y≥0兩個條件外,寫下x,y必須滿足的不等式組。 (3分)