阿摩線上測驗
登入
首頁
>
四技二專統測◆數學B
> 96年 - 96 四技二專統測_共同科目:數學(B)#18261
96年 - 96 四技二專統測_共同科目:數學(B)#18261
科目:
四技二專統測◆數學B |
年份:
96年 |
選擇題數:
25 |
申論題數:
0
試卷資訊
所屬科目:
四技二專統測◆數學B
選擇題 (25)
1. 在坐標平面上,若 a > 0 且b < 0,則點 (ab, b − a) 在第幾象限內? (A) 一 (B) 二 (C) 三 (D) 四
2. 若在坐標平面上的平行四邊形 ABCD中,點 A、B、C 的坐標分別為 ( 5 , 2 )、( 1 , 3 )、(-4,3 ),則 D點之坐標為何? (A) ( 1,8 ) (B) ( 0,2 ) (C) ( 2,7 ) (D) ( 3,9 )
3. 已知
,則此三數的大小關係為何? (A) a>b>c(B) a > c > b (C) c > a > b (D) c > b > a
4. 試問 3
11
除以 3
2
+3+1之餘數為何? (A)1 (B) 3 (C) 9 (D) 12
5. 設 a > 0 且 a ≠ 1,若 log
a
3 + log
a
7 = 3,則 a=?
6. 設 x = √3 +1,則 x
3
-6x-1 =? (A) 1 (B) 2 (C) 3 (D) 4
7. 以x
2
+2x+2除 x
4
+3x
3
+2x
2
+x+1 的餘式為 ax+b ,則 a − b =? (A) 0 (B) 1 (C) −1 (D) − 2
8. 若 f (x) = 5x
2
+ 6x +1 在 x = a 時有最小值 b ,則 a − b =? (A) 1/5 (B) 0 (C) -3/5 (D) −4/5
9. 已知點M 為 A、 B 兩點的中點,若M 及B 的坐標分別為 ( 2,1 ) 及 ( -1,3 ),則點 A到 點 ( 3,0 ) 的距離為何? (A) √ 3 (B) 2 (C) √5 (D) √6
10. 設方程式 log
2
(x
2
− 5x +12) = 1+ log
2
x 的根為 a、b ,則 a + b =? (A) − 5 (B) 5 (C) − 7 (D) 7
11. 若 (2
m
)
2
=16 且 3
n-m
=1/27,則 m + n =? (A) 5 (B) 1 (C) − 5 (D) −1
12. 設θ 為實數,若 sinθ − cosθ =1/3 ,則secθ − cscθ =? (A) 3/4 (B) 4/3 (C) 4/5 (D) 5/4
13. 設 0 ≤ x ≤ 2π ,則 f(x)=sin
2
x+cosx-1的最大值為何? (A) 1/2 (B) 1/4 (C) -1/4 (D) -1/2
14. 設級數
=? (A) 75 (B) 64 (C) 60 (D) 51
15. 等差級數共有 25 項,公差為 −3/4 ,又知第 17 項為 21,則此等差級數的和為何? (A) 550 (B) 600 (C) 625 (D) 650
16. 若直線 4x + 3y − 4 = 0 的斜角為 θ ,則 cosθ =? (A) 3/5 (B) 4/5 (C) -3/5 (D) 4/5
17. 已知一直線的 x截距與 y 截距分別為 2 與 3,則此直線方程式為何? (A) 3x + 2y = 6 (B) 2x + 3y = 6 (C) 3x + 2y = 1 (D) 2x + 3y = 1
18. 滿足聯立不等式
的條件下,試求 3y − x 的最大值? (A) 10 (B) 20 (C) 30 (D) 40
19. 求聯立不等式
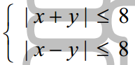
之圖形區域面積為何? (A)64 (B) 86 (C) 100 (D) 128
20. 設 m、b 為實數,若直線 y = mx + b 經過點 ( −1,1) 且與圓 x
2
+y
2
-6x+2y-10=0相切, 則 m+b =? (A) 4 (B) 5 (C) 6 (D) 7
21. 下列何者為方程式
之圖形? (A) 一點 (B) 一直線 (C) 圓心為(-3/2,2)之圓 (D) 半徑為 √5/2 之圓
22. 可用7種不同顏色塗在右圖的 6 個格子內,若規定顏色不重複使用且同一格子僅塗滿同一 色,則共可塗出幾種不同的著色樣式?
23. 若相同的玩具 8 個分裝於 3 個相同的箱子,每箱至少 1 個,則共有幾種裝法? (A) 5 (B) 6 (C) 7 (D) 8 2
24. 在圓內部任選一點,則此點至圓心的距離小於此點至圓周的距離之 1/2倍的機率為何? (A) 4/9 (B) 1/3 (C) 2/9 (D) 1/9
25. 若同時丟擲兩個公正骰子一次,則此兩個骰子出現相同點數的機率為何? (A) 5/36 (B) 1/6 (C) 7/36 (D) 2/9
申論題 (0)
相關試卷
114年 - 114 四技二專統測_共同科目:數學(B)#137774
114年 · #137774
113年 - 113 四技二專統測_共同科目:數學(B)#122408
113年 · #122408
112年 - 112 四技二專統測_共同科目:數學(B)#117807
112年 · #117807
111年 - 111 身心障礙學生升學大專校院甄試試題_四技二專組_共同科目:數學(B)#118920
111年 · #118920
111年 - 111 四技二專統測_共同科目:數學(B)#107790
111年 · #107790
110年 - 110 四技二專統測_共同科目:數學(B)#98473
110年 · #98473
109年 - 109 四技二專統測_共同科目:數學(B)#85160
109年 · #85160
108年 - 108 四技二專統測_共同科目:數學(B)#77362
108年 · #77362
107年 - 107 四技二專統測_共同科目:數學(B)#68919
107年 · #68919
106年 - 106 四技二專統測_共同科目:數學(B)#61708
106年 · #61708