阿摩線上測驗
登入
首頁
>
工程數學(應用數學, 線性代數、微分方程、複變函數與機率)
> 97年 - 97 高等考試_三級_電力工程、電子工程、醫學工程:工程數學#36441
97年 - 97 高等考試_三級_電力工程、電子工程、醫學工程:工程數學#36441
科目:
工程數學(應用數學, 線性代數、微分方程、複變函數與機率) |
年份:
97年 |
選擇題數:
20 |
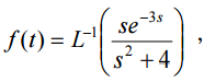
申論題數:
6
試卷資訊
所屬科目:
工程數學(應用數學, 線性代數、微分方程、複變函數與機率)
選擇題 (20)
1 利用變換變數v = x + 2y,z = x - 2y 可將偏微分方程式4uxx - uyy= 0 轉換為:(其中
) (A) u
vv
= 0 (B) u
zz
= 0 (C) u
vz
= 0 (D) u
vv
+ u
zz
=0
2 下列那一個是ln(-1+ √3i)的解? (A) ln 2 + iπ/3
(B) ln 2 - i2π/3
(C) ln 2 - i 4π/3 (D) ln 2 - iπ/3
3 f(t)是週期為 4 的函數,在- 2 ≤ t ≤ 2之間定義為 f(t)=t
2
。將 f(t)的傅利葉級數(Fourier series)表示成
求 a
0
之值為何? (A)10/3 (B)8/3 (C)5/3 (D)4/3
4 計算線積分
其中 C 表示一個三角形邊線,該三角形的頂點 P1(1,0,0) ,P2(0,1,0),P3(0,0,1),C 的方向從 P
1
到 P
2
到 P
3
。 (A)1/2 (B)1 (C)3/2 (D)4
5 試求 y" - 3y' + 2y = e
x
之解,其中 c
1
, c
2
為任意實數。
(A) y=c
1
e
x
+c
2
e
2x
(B) y=c
1
e
x
+c
2
e
2x
-e
x
(C) y=c
1
e
x
+c
2
e
2x
-xe
x
(D)y=c
1
e
x
+c
2
e
2x
+e
x
6 下列何者不是微分方程式
的通解的其中一項? (A) e
-x
(B)e
x
(C)e
2x
(D)e
-2x
7 定義函數 f(t)的傅利葉轉換(Fourier transform)為
其中i =√ -1 。求 f(5t)的傅利葉 轉換為何?
8 二維隨機變數 X 與 Y 的聯合機率密度函數(joint probability density function)為
則 XY 的期望值(mean)為何? (A) 1 (B) 15/4 (C) 15/2 (D) 15
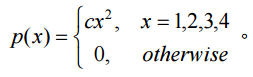
9 給定一個離散隨機變數(discrete random variable)X,它的機率質量函數(probability mass function)為
則 X 為偶數的機率為何? (A) 1/3 (B) 1/2 (C) 2/3 (D) 3/4
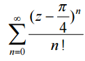
10 級數(series)
之收斂半徑(radius of convergence)R 為何? (A)R=1 (B)R=π/4 (C)R=1/e (D)R=∞
11 令
則下列何者正確? (A) f (0) = 1 (B) f (1) = cos 4 (C) f (3) = 1 (D) f (π ) = 0
12 若一系統之轉移函數為 s/(s +1)
2
,則此系統之脈衝響應(impulse response)為:
(A)e
-2t
-e
-t
(B) e
-2t
-e
-t
sin t
(C) e
-t
-te
-t
(D)e
-2t
sin t-e
-t
13 若拉氏轉換(Laplace Transform) Y(s) = 1/(s +1)
4
,則 L
-1
[Y(s)]=y(t) =?
14 令 A 與 B 皆為 3×3 的矩陣(matrix),現已知 A 的行列式(determinant)值是 2,B 的行列式值是 5, 且 △ = 3AB。則△ 的行列式值是: (A) 30 (B) 90 (C) 180 (D) 270
15 下列敘述何者正確?
(A) 如果矩陣 AB= 0,則矩陣 A = 0,或矩陣 B= 0,或 A = B= 0
(B) 如果矩陣
的第一列(row)與第三列相同,則矩陣 AB 的第一列與第三列也相同,其中
(C) 如果矩陣 A ≠ 0,矩陣 B ≠ 0,矩陣 C ≠ 0,並且 AC = BC,則 A = B
(D) 如果矩陣 A,矩陣 B 皆為對稱矩陣(symmetric matrix),則 AB 也是對稱矩陣
16 令 X、Y、Z 與 W 皆是 R
3
的子空間(subspace)。X 是由向量
擴展而成,Y 是由向量
擴 展 而 成 , Z 是 由 向 量
擴 展 而 成 , W 是 由 向 量
擴展而成。記號“⊥ ”表示垂直。下列何者正確? (A) X⊥Y (B) X⊥ Z (C) Y⊥ Z (D) W ⊥ Y
17 將函數 f (t) = (cos(5πt))
3
的複數傅利葉級數(complex Fourier series)表示成
,其中i = √-1 。 求 e
it5π
的係數 c
1
之值為何? (A) 3i / 8 (B) i / 8 (C) 1/8 (D) 3/8
18 有一個旋轉角錐體的表面方程式描述為 z
2
-5(x
2
+y
2
)=0,求其表面上一點(1,2,5)的單位法向量為何?
19 下列何者為微分方程式 y' = (x - y + 1 )
2
+ x - y 之通解?其中 c 為任意實數。
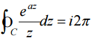
20 現已知
,其中 C 表示單位圓(unit circle) z = e
iθ
,(-π ≤ θ ≤ π ) 。請利用此結果來計算
(A) 2π (B) π (C) 0 (D) - π
申論題 (6)
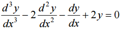
【已刪除】一、解微分方程式
(10 分)
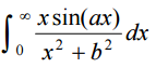
【已刪除】二、求解
,a > 0,b > 0。 (10 分)
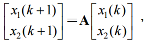
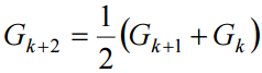
【已刪除】⑴ 設定x
1
(k)G
k+1
,x
2
(k)=G
k
,將關係式
表示為矩陣方程式:
試求 2×2 矩陣 A。(5 分)
【已刪除】 ⑵ 試求 A
k
=?
(10 分)
⑴ 證明隨機變數 Z 的機率密度函數 f
Z
(z) 和 f
X
(x) 與 f
Y
( y) 間具有下面的關係 f
Z
(z) = f
X
(x) * f
Y
( y) 其中“*”意指褶積(convolution operation)。 (5 分)
【已刪除】⑵ 假設 f
X
(x) 和 f
Y
( y) 的表示式如下
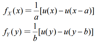
其中 0<a<b,而 u(•)代表單位步階函數(unit-step function)。求算隨機變數 Z 的機率密度函數 f
Z
(z) ,並繪圖表示之。 (10 分)
相關試卷
114年 - 114 專技高考_電機工程技師:工程數學(包括線性代數、微分方程、複變函數與機率)#133679
114年 · #133679
114年 - 114 專技高考_電子工程技師:工程數學(包括線性代數、微分方程、向量分析、複變函數與機率)#133677
114年 · #133677
114年 - 114 調查特種考試_三等_電子科學組:工程數學#129578
114年 · #129578
114年 - 114 國家安全情報特種考試_三等_電子組(選試英文):工程數學#127780
114年 · #127780
113年 - 113 專技高考_電子工程技師:工程數學(包括線性代數、微分方程、向量分析、複變函數與機率)#123976
113年 · #123976
113年 - 113 專技高考_電機工程技師:工程數學(包括線性代數、微分方程、複變函數與機率)#123971
113年 · #123971
113年 - 113 調查特種考試_三等_電子科學組:工程數學#122110
113年 · #122110
113年 - 113 身心障礙特種考試_三等_電力工程:工程數學#119517
113年 · #119517
112年 - 112 地方政府特種考試_三等_電力工程、電子工程:工程數學#118376
112年 · #118376
112年 - 112 專技高考_電機工程技師:工程數學(包括線性代數、微分方程、複變函數與機率)#117639
112年 · #117639