阿摩線上測驗
登入
首頁
>
工程數學(應用數學, 線性代數、微分方程、複變函數與機率)
> 98年 - 98 鐵路特種考試_高員三級_電力工程:工程數學#36568
98年 - 98 鐵路特種考試_高員三級_電力工程:工程數學#36568
科目:
工程數學(應用數學, 線性代數、微分方程、複變函數與機率) |
年份:
98年 |
選擇題數:
20 |
申論題數:
4
試卷資訊
所屬科目:
工程數學(應用數學, 線性代數、微分方程、複變函數與機率)
選擇題 (20)
1 一微分方程式為(x
2
+ 3y
2
)dx − 2xydy = 0,試求其通解:(其中 k 為任意實數。) (A) x
2
= k(x + y)
(B) x
3
= k(x
2
+ y
2
)
(C) y
2
= k(x + y)
(D) y
3
= k (x + y)
2 設 L{ f (t)} 為 f (t)之拉氏轉換,下列何者為錯?
(A) L{af (t) + bg(t)} = L{af (t)}+ L{bg(t)}
(B) L{af (t) + bg(t)} = aL{ f (t)}+ bL{g(t)}
(C) L{af (t) *bg(t)} = aL{ f (t)}×bL{g(t)},*為迴旋積分
(D) L{af (t)×bg(t)} = aL{ f (t)}×bL{g(t)}
3 微分方程式
,且 y(0) = y'(0) = 0,求 y(1) 為何? (A)4e
−1
− 8 (B)8e
−1
− 4 (C)8e
−1
+ 4 (D)4e
−1
+8
4 試求反拉氏轉換(Inverse Laplace Transform) L
−1
{(3s − 2)/[s
2
+ 6s + 25]}: (A)3cos 2t − 2sin 2t (B) 3 e
− 3t
cos2t −2e
−3 t
sin 2t (C) 3e
−3t
cos4t −2.75e
−3t
sin4t (D)e
−3t
cos2t −e
−3t
sin 2t
5 設一三度空間內之曲線可表示為位置向量F(t) = cos(t)i + sin(t)j + √3tk ,其中− π ≤ t ≤ π ,則該曲線長度為何? (A)2π (B) 4/3π (C)2√3π (D)4π
6 令F (s )t = L
,則下列何者正確? (A) F(0) = 5/8
(B) F(−1) = 1
(C) F(1) = 10/27
(D) F(∞) = 1
7 下列那一向量與平面3x − 5y + 2z = 10垂直? (A)[1, −1,1] (B)[1,1,1]
8 f (t)是週期為2π 的函數,定義 g(t)為
,將 g(t)的傅利葉級數(Fourier series)表示成
。下列敘述何者正確? (A)a
n
= 0, n = 1,2,3,
...
(B)b
n
= 0, n = 1,2,3,
...
(C)a0 ≠ 0 (D)a
n
+ b
n
= 0, n =1,2,3,
...
9 矩陣
的零空間(null space)可以向量形式 αv
1
+ βv
2
表示,其中α 及 β 為常數,則下列何 者正確?
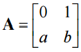
10 設
;當 A 的特徵值(eigenvalues)為 λ
1
=4 λ
2
= 7 時,a = ? b = ? (A)a = 11, b = 28 (B)a = 11, b = −28 (C)a = 28, b =11 (D)a = −28, b = 11
11 假設 x 是常態分配(normal distribution),其機率密度函數為 N(0,1) ,且 P(x ≤ −0.43) = 1/ 3, P(x ≤ 0) =1/ 2 。今有 y 也是常態分配,其機率密度函數為 N(3,4),若2P( y ≤ c) = P( y > c) ,則 c 為: (A) 1.14 (B) 2.14 (C) 3.14 (D) 4.14
12 給定三個獨立(independent)的隨機變數 X,Y,Z,每一個隨機變數的期望值(mean)都是 µ ,變異值(variance) 都是σ
2
。定義隨機變數 W 為W = (X + Y + Z)/ 3,求 W 的變異值(variance)為何? (A) 1/3 σ
2
(B)σ
2
(C)2σ
2
(D) 3σ
2
13 有一個週期為2π 的函數 f (x) = x
2
,−π ≤ x ≤ π ,用傅立葉展開方式求
等於下列何值? (A) π/6 (B) π
2
/6 (C) π/2 (D) π/3
14 將 F(x) = x
2
, 0 < x < 2π ,展開為傅立葉級數,當週期為2π 時,
,則 b
n
=?
15 求
之值為何? (A) 1/4 (B)1/3 (C) 1/2 (D) 1
16 假設 z = x + iy 為複數(complex number),下列那一個是全函數(entire function)? (A) f (z) = 2xy + i(x
2
− y
2
) (B)
的共軛複數(complex conjugate) (C) f (z) =
(D) f(z) = ( z
2
− 2)e
−x
e−
iy
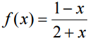
17 函數
在 x = 0可解析,因此 Taylor 級數展開存在
,則x
3
的係數c
3
之值為何? (A)−1/16 (B)− 3/16 (C)1/16 (D)3/16
18 若w
3
− 3z
2
w + 4ln z = 0 ,求 dw/dz = ?(其中w = w(z) 。)
19 令u = u(x, y) ,則下列何者不滿足偏微分方程式u
yy
+ 3u
y
− 4u = 0 ? (A) x
2
e
−4 y
20 設 C 為圓| z |=1之封閉曲線,求
= ? (A) 1 (B)2πi (C) 0 (D)π
申論題 (4)
【已刪除】一、求出下列微分方程式的通解:
(15分)
【已刪除】二、試求圓錐面
之面積
(注意:不包括該圓錐體之圓形底面。)(10 分)
【已刪除】三、試應用留數(Residue)計算下列積分
四、假設 A 是一個2× 2實數矩陣,而且tr(A) = 8及det(A) =12,則請問 A 的特徵值(eigenvalues) 為何?(提示:tr(A) ≡trace of A;det(A) ≡determinant of A)(10 分)
相關試卷
114年 - 114 專技高考_電機工程技師:工程數學(包括線性代數、微分方程、複變函數與機率)#133679
114年 · #133679
114年 - 114 專技高考_電子工程技師:工程數學(包括線性代數、微分方程、向量分析、複變函數與機率)#133677
114年 · #133677
114年 - 114 調查特種考試_三等_電子科學組:工程數學#129578
114年 · #129578
114年 - 114 國家安全情報特種考試_三等_電子組(選試英文):工程數學#127780
114年 · #127780
113年 - 113 專技高考_電子工程技師:工程數學(包括線性代數、微分方程、向量分析、複變函數與機率)#123976
113年 · #123976
113年 - 113 專技高考_電機工程技師:工程數學(包括線性代數、微分方程、複變函數與機率)#123971
113年 · #123971
113年 - 113 調查特種考試_三等_電子科學組:工程數學#122110
113年 · #122110
113年 - 113 身心障礙特種考試_三等_電力工程:工程數學#119517
113年 · #119517
112年 - 112 地方政府特種考試_三等_電力工程、電子工程:工程數學#118376
112年 · #118376
112年 - 112 專技高考_電機工程技師:工程數學(包括線性代數、微分方程、複變函數與機率)#117639
112年 · #117639